精英家教网 > 高中数学 > 题目详情
已知数列{an} 的首项为1,前n项和为Sn,且满足a n+1=3Sn,n∈N*.
数列{bn}满足bn=log4an
(1)求数列{an} 的通项公式;
(2)当n∈N*时,试比较b1+b2+…+bn与与(n﹣1)2的大小,并说明理由.
解:(I)由an+1=3Sn(1),
得an+2=3Sn+1(2),
由(2)﹣(1)得
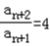
an+1﹣an+1=3an+1,整理,得 ,n∈N*.
所以,数列a2,a3,a4,…,an,是以4为公比的等比数列.
其中,a2=3S1=3a1=3,
所以
(II)由题意,
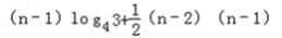
当n≥2时,b1+b2+b3+…+bn=0+(log43+0)+(log43+1)+…+(log43+n﹣2)=
=
=
所以
练习册系列答案
相关习题

科目:高中数学 来源: 题型:

已知数列{an}的前n项和Sn+
an2
=3,n∈N*
,又bn是an与an+1的等差中项,求{bn}的前n项和Tn

查看答案和解析>>

科目:高中数学 来源: 题型:

已知数列{an}的前n项和为Sn,且Sn=n-2an-34,n∈N+
(1)证明:{an-1}是等比数列;
(2)求数列{Sn}的通项公式,并求出使得Sn+1>Sn成立的最小正整数n.

查看答案和解析>>

科目:高中数学 来源: 题型:

(2006•嘉定区二模)已知数列{an}的通项为an=2n-1,Sn是{an}的前n项和,则
lim
n→∞
a
2
n
Sn
=
4
4

查看答案和解析>>

科目:高中数学 来源: 题型:

(2007•长宁区一模)已知数列{an}的前n项和Sn=5-4×2-n,则其通项公式为
an=
3(n=1)
4
2n
(n≥2)
an=
3(n=1)
4
2n
(n≥2)

查看答案和解析>>

科目:高中数学 来源: 题型:

已知数列{an}的递推公式为
a1=2
an+1=3an+1
bn=an+
1
2
(n∈N*),
(1)求证:数列{bn}为等比数列;
(2)求数列{an}的通项公式.

查看答案和解析>>

同步练习册答案