精英家教网 > 高中数学 > 题目详情

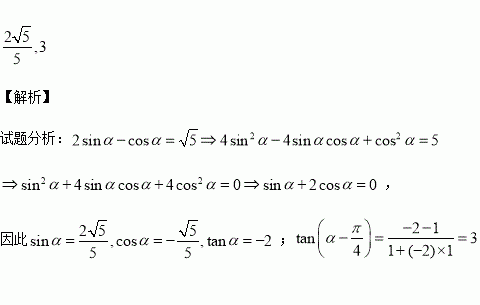
已知,则 ,

练习册系列答案
相关习题

科目:高中数学 来源:2016届宁夏高三下三模文科数学试卷(解析版) 题型:填空题

已知α是锐角,=(,sinα),=(cosα,),且,则α=_________.

查看答案和解析>>

科目:高中数学 来源:2016届上海市高三6月模拟理科数学试卷(解析版) 题型:选择题

下列四个图象,只有一个符合的图象,则根据你所判断的图象,之间一定满足的关系是( )

A. B. C. D.

查看答案和解析>>

科目:高中数学 来源:2016届上海市高三6月模拟理科数学试卷(解析版) 题型:填空题

集合,则实数的取值范围是______.

查看答案和解析>>

科目:高中数学 来源:2016届浙江省杭州市高三5月模拟文科数学试卷(解析版) 题型:填空题

若存在实数同时满足,则 取值范围是

查看答案和解析>>

科目:高中数学 来源:2016届浙江省杭州市高三5月模拟文科数学试卷(解析版) 题型:选择题

已知某几何体的三视图如图所示,则该几何体的表面积为( )

A. B. C. D.

查看答案和解析>>

科目:高中数学 来源:2016届上海市高三模拟理科数学试卷(解析版) 题型:解答题

某海域有两个岛屿,岛在岛正东4海里处,经多年观察研究发现,某种鱼群洄游的路线是曲线,曾有渔船在距岛、岛距离和为8海里处发出过鱼群。以所在直线为轴,的垂直平分线为轴建立平面直角坐标系.

(1)求曲线的标准方程;

(2)某日,研究人员在两岛同时用声纳探测仪发出不同频率的探测信号(传播速度相同),两岛收到鱼群在处反射信号的时间比为,问你能否确定处的位置(即点的坐标)?

查看答案和解析>>

科目:高中数学 来源:2016届上海市高三模拟理科数学试卷(解析版) 题型:填空题

的展开式中项的系数为______________.

查看答案和解析>>

科目:高中数学 来源:2016届河南省高三考前冲刺五文科数学试卷(解析版) 题型:选择题

在区间[1,5]和[2,4]上分别取一个数,记为a,b,则方程表示焦点在x轴上且离心率小于的椭圆的概率为( )

A. B. C. D.

查看答案和解析>>

同步练习册答案