精英家教网 > 高中数学 > 题目详情

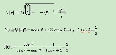
设复数z=-3cosθ+2isinθ.

(1)当θπ时,求|z|的值;

(2)若复数z所对应的点在直线x+3y=0上,求的值.


解 (1)∵θπ,

z=-3cosπ+2isinπ=i.


练习册系列答案
相关习题

科目:高中数学 来源: 题型:


线段AB外有一点C,∠ABC=60°,AB=200 km,汽车以80 km/h的速度由AB行驶,同时摩托车以50 km/h的速度由BC行驶,则运动开始多少h后,两车的距离最小(  )

A.                                   B.1

C.                                   D.2

查看答案和解析>>

科目:高中数学 来源: 题型:


已知向量ab满足|a|=3,|b|=2,且a⊥(ab),则ab的夹角为(  )

查看答案和解析>>

科目:高中数学 来源: 题型:


复数z(i是虚数单位)在复平面内的对应点位于(  )

A.第一象限                             B.第二象限

C.第三象限                             D.第四象限

查看答案和解析>>

科目:高中数学 来源: 题型:


复数z2是实数,求实数a的值.

查看答案和解析>>

科目:高中数学 来源: 题型:


若三角形的一个内角等于另外两个内角之差,则这个三角形是(  )

  A. 锐角三角形 B. 直角三角形 C. 钝角三角形 D. 不能确定

 

查看答案和解析>>

科目:高中数学 来源: 题型:


在四边形ABDC中,AB=AC,∠B=∠C,BD=10,则DC=  

 

查看答案和解析>>

科目:高中数学 来源: 题型:


数列{an}中,a1a2=1,an+2an+1an对所有正整数n都成立,则a10等于(  )

A.34                                   B.55

C.89                                   D.100

查看答案和解析>>

科目:高中数学 来源: 题型:


各项都是正数的等比数列{an}中,a2a3a1成等差数列,则的值为(  )

查看答案和解析>>

同步练习册答案