科目:高中数学 来源:2015-2016学年江西省等三校高二上第一次联考数学试卷(解析版) 题型:选择题
三条直线l1:x-y=0;l2:x+y-2=0;l3:5x-ky-15=0围成一个三角形,则k的取值范围( )
A.k≠±5且k≠1 B.k≠±5且k≠-10
C.k≠±1且k≠0 D.k≠±5
查看答案和解析>>
科目:高中数学 来源:2015-2016学年广东省普宁市高二上期中理科数学试卷(解析版) 题型:解答题
(本小题满分14分)
已知数列
的前
项和为
,且
满足
.
(1)求
,
的值;
(2)求
;
(3)设
,数列
的前
项和为
,求证:
.
查看答案和解析>>
科目:高中数学 来源:2016届云南省玉溪市高三上学期期中文科数学试卷(解析版) 题型:解答题
(本小题满分12分)设F1,F2分别是椭圆
的左、右焦点,过
的直线
与
相交 于A,B两点,且|AF2|,|AB|,|BF2|成等差数列.
(1)求|AB|;
(2)若直线
的斜率为1,求实数
的值.
查看答案和解析>>
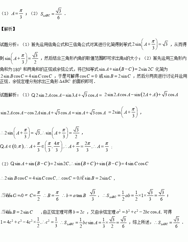
科目:高中数学 来源:2016届云南省玉溪市高三上学期期中理科数学试卷(解析版) 题型:解答题
(本小题满分12分)设
的内角
所对的边为
,![]()
(1)求角
的大小;
(2)若
,
,
为
的中点,求
的长.
查看答案和解析>>
科目:高中数学 来源:2016届辽宁省葫芦岛市高三上学期期中理科数学试卷(解析版) 题型:解答题
(本小题满分12分)已知首项都是
的数列
,![]()
满足
.
(Ⅰ)令
,求数列
的通项公式;
(Ⅱ)若数列
为各项均为正数的等比数列,且
,求数列
的前
项和
.
查看答案和解析>>
科目:高中数学 来源:2016届辽宁省抚顺市高三上学期第一次模拟文科数学试卷(解析版) 题型:解答题
(本小题满分12分)设数列
的各项均为正数,它的前
项和为
,点
在函数
的图像上;数列
满足
,其中
.
(Ⅰ)求数列
和
的通项公式;
(Ⅱ)设
,求证:数列
的前
项和
.
查看答案和解析>>
科目:高中数学 来源:2016届贵州省贵阳市高三上学期第三次月考文科数学试卷(解析版) 题型:解答题
(本小题满分12分)已知函数
(
)在
时有最小值
.
(Ⅰ)求
的值;
(Ⅱ)在
中,
,
,
分别是角
,
,
所对的边,已知
,
,
,求角
的值.
查看答案和解析>>
科目:高中数学 来源:2015-2016学年吉林实验中学高二上学期期中理科数学试卷(解析版) 题型:解答题
(本小题12分)已知椭圆
的右焦点为
,点
在椭圆上.
![]()
(Ⅰ)求椭圆的离心率;
(Ⅱ)点
在圆
上,且
在第一象限,过
作圆
的切线交椭圆于
,
两点,求证:△
的周长是定值.
查看答案和解析>>
湖北省互联网违法和不良信息举报平台 | 网上有害信息举报专区 | 电信诈骗举报专区 | 涉历史虚无主义有害信息举报专区 | 涉企侵权举报专区
违法和不良信息举报电话:027-86699610 举报邮箱:58377363@163.com