精英家教网 > 高中数学 > 题目详情

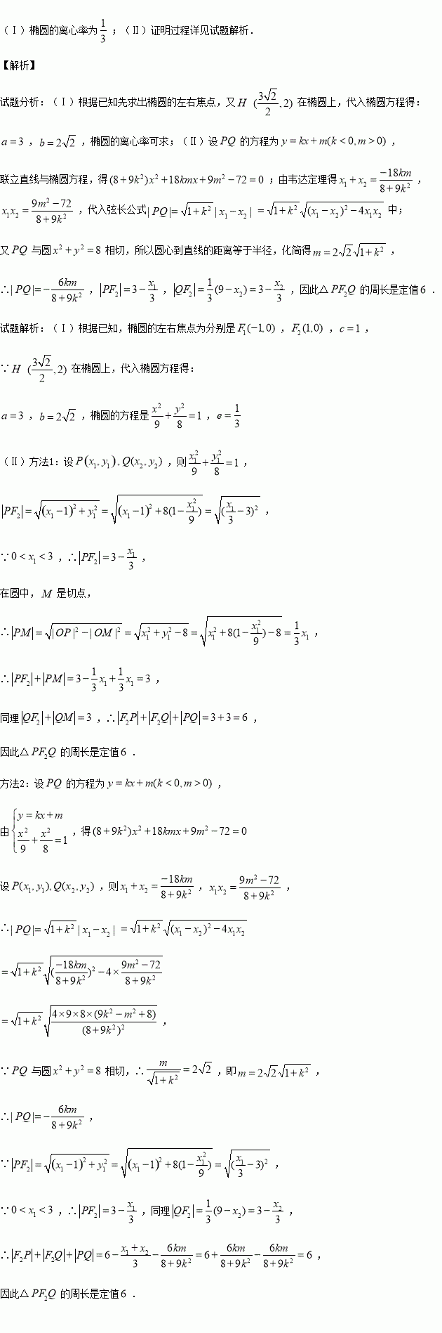
(本小题12分)已知椭圆的右焦点为,点在椭圆上.

(Ⅰ)求椭圆的离心率;

(Ⅱ)点在圆上,且在第一象限,过作圆的切线交椭圆于,两点,求证:△的周长是定值.

练习册系列答案
相关习题

科目:高中数学 来源:2016届辽宁省葫芦岛市高三上学期期中文科数学试卷(解析版) 题型:解答题

(本小题满分12分)在三角形中,

(1)求角A的大小;

(2)已知分别是内角的对边,若,求三角形的面积.

查看答案和解析>>

科目:高中数学 来源:2015-2016学年江西南昌二中高二上学期期中文科数学试卷(解析版) 题型:填空题

线段是椭圆的一动弦,且直线与直线交于点,则

查看答案和解析>>

科目:高中数学 来源:2015-2016学年吉林省高一上学期期中数学试卷(解析版) 题型:选择题

是定义在上的偶函数,则

(A) (B) (C) (D)

查看答案和解析>>

科目:高中数学 来源:2015-2016学年吉林实验中学高二上学期期中文科数学试卷(解析版) 题型:选择题

设椭圆的离心率为e=,右焦点为F(c,0),方程ax2+bx-c=0的两个实根分别为x1和x2,则点P(x1,x2)

A.必在圆x2+y2=2内 B.必在圆x2+y2=2上

C.必在圆x2+y2=2外 C.以上三种情形都有可能

查看答案和解析>>

科目:高中数学 来源:2015-2016学年吉林实验中学高二上学期期中理科数学试卷(解析版) 题型:填空题

若圆的半径为,其圆心与点关于直线对称,则圆的标准方程为________.

查看答案和解析>>

科目:高中数学 来源:2016届江西省南昌市高三上第四次考试理科数学试卷(解析版) 题型:填空题

内有一个内接正方体,正方体的全面积为24,则球的体积是

查看答案和解析>>

科目:高中数学 来源:2016届湖南省长沙市高三月考三理科数学试卷(解析版) 题型:选择题

用数字0,1,2,3,4,5组成没有重复数字的五位数,其中比40000大的偶数共有( )

A.144个 B.120个 C.96个 D.72个

查看答案和解析>>

科目:高中数学 来源:2016届湖南省高三上第三次月考理数学试卷(解析版) 题型:选择题

在圆内,过点的最长弦和最短弦分别为,则四边形的面积为( )

A. B. C. D.

查看答案和解析>>

同步练习册答案