精英家教网 > 高中数学 > 题目详情

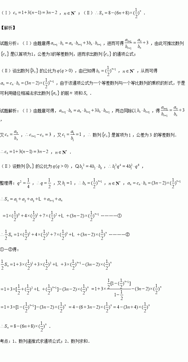
(本小题满分12分)已知首项都是的数列满足

(Ⅰ)令,求数列的通项公式;

(Ⅱ)若数列为各项均为正数的等比数列,且,求数列的前项和

练习册系列答案
相关习题

科目:高中数学 来源:2015-2016学年江西省赣州市十三县高二上期中联考文科数学试卷(解析版) 题型:选择题

已知点 是圆C: 上的点,过点A且与圆C相交的直线AM、AN的倾斜角互补,则直线MN的斜率为( )

A. B. C. D.不为定值

查看答案和解析>>

科目:高中数学 来源:2016届重庆市高三上学期第三次月考文科数学试卷(解析版) 题型:解答题

(本小题满分12分)如右图,已知是边长为2的正方形,平面,设

(1)证明:

(2)求四面体的体积;

(3)求点到平面的距离.

查看答案和解析>>

科目:高中数学 来源:2016届云南省玉溪市高三上学期期中文科数学试卷(解析版) 题型:选择题

若集合( )

A.{2,3} B. C. D.2,3

查看答案和解析>>

科目:高中数学 来源:2016届辽宁省葫芦岛市高三上学期期中文科数学试卷(解析版) 题型:解答题

(本小题满分12分)在三角形中,

(1)求角A的大小;

(2)已知分别是内角的对边,若,求三角形的面积.

查看答案和解析>>

科目:高中数学 来源:2016届辽宁省抚顺市高三上学期第一次模拟文科数学试卷(解析版) 题型:解答题

(本小题满分10分)选修4-5:不等式选讲.

已知函数

(Ⅰ)若不等式的解集为,求实数的值;

(Ⅱ)在(Ⅰ)的条件下,若存在实数使成立,求实数的取值范围.

查看答案和解析>>

科目:高中数学 来源:2016届黑龙江省牡丹江市高三上学期期中文科数学试卷(解析版) 题型:解答题

等差数列中,),是数列的前n项和.

(1)求;(2)设数列满足),求的前项和

查看答案和解析>>

科目:高中数学 来源:2016届福建省高三上学期期中理科数学试卷(解析版) 题型:填空题

函数的图像与函数的图像所有交点的横坐标之和等于

查看答案和解析>>

科目:高中数学 来源:2015-2016学年吉林实验中学高二上学期期中理科数学试卷(解析版) 题型:填空题

若圆的半径为,其圆心与点关于直线对称,则圆的标准方程为________.

查看答案和解析>>

同步练习册答案