精英家教网 > 高中数学 > 题目详情
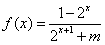
已知指数函数y=g(x)满足:g(2)=4,定义域为R的函数是奇函数。
(1)确定y=g(x)的解析式;
(2)求m,n的值;
(3)若对任意的t∈R,不等式f(t2-2t)+f(2t2-k)<0恒成立,求实数k的取值范围。
解:(1)y=g(x)=2x
(2)由(1)知:
因为f(x)是奇函数,所以f(0)=0,即

又由f(1)=-f(-1)知,

∴m=2,n=1。
(3)由(2)知,
易知f(x)在(-∞,+∞)上为减函数,
又因f(x)是奇函数,
从而不等式:等价于
因f(x)为减函数,由上式推得:
即对一切t∈R有:
从而判别式
∴实数k的取值范围是(-∞,)。
练习册系列答案
相关习题

科目:高中数学 来源: 题型:

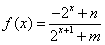
已知指数函数y=g(x)满足:g(2)=4,定义域为R的函数f(x)=
-g(x)+n2g(x)+m
是奇函数.
(1)确定y=g(x)的解析式;
(2)求m,n的值;
(3)若对任意的t∈R,不等式f(t2-2t)+f(2t2-k)<0恒成立,求实数k的取值范围.

查看答案和解析>>

科目:高中数学 来源: 题型:

已知指数函数y=g(x)满足:g(2)=4,定义域为R,函数f(x)=
-g(x)+n2g(x)+m
是奇函数.
(1)确定y=g(x)的解析式;
(2)求m,n的值;
(3)若对任意的t∈[1,3],不等式f(t2-2t)+f(2t2-k)>0恒成立,求实数k的取值范围.

查看答案和解析>>

科目:高中数学 来源: 题型:

已知指数函数y=g(x)过点(1,3),函数f(x)=
-g(x)+ng(x)+1
是R上的奇函数.
(I)求y=g(x)的解析式;
(II)求n的值并用定义域判定y=f(x)的单调性;
(III)讨论关于x的方程xf(x)=m的解的个数.

查看答案和解析>>

科目:高中数学 来源: 题型:

已知指数函数y=g(x)满足:g(2)=4,定义域为R上的函数f(x)=
-g(x)+ng(x)+m
是奇函数.
(Ⅰ)求y=g(x)与y=f(x)的解析式;
(Ⅱ)判断y=f(x)在R上的单调性并用单调性定义证明;
(Ⅲ)若方程f(x)=b在(-∞,0)上有解,试证:-1<3f(b)<0.

查看答案和解析>>

科目:高中数学 来源: 题型:

已知指数函数y=g(x)满足:g(3)=8,定义域为R的函数f(x)=
n-g(x)m+2g(x)
是奇函数.
(1)确定y=g(x)的解析式;
(2)求m,n的值;
(3)若对任意的t∈R,不等式f(2t-3t2)+f(t2-k)>0恒成立,求实数k的取值范围.

查看答案和解析>>

同步练习册答案