精英家教网 > 高中数学 > 题目详情

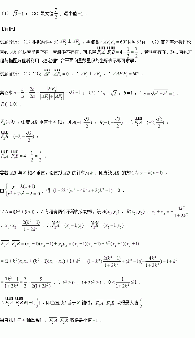
如图,椭圆的左、右焦点为,过的直线与椭圆相交于两点.

(1)若,且 ,求椭圆的离心率.

(2)若,求的最大值和最小值.

练习册系列答案
相关习题

科目:高中数学 来源:2015-2016学年上海师大附中高一上期中数学试卷(解析版) 题型:填空题

已知函数,则

查看答案和解析>>

科目:高中数学 来源:2015-2016学年河南省高二12月月考文科数学卷(解析版) 题型:选择题

数列为等差数列,为等比数列,,则( )

A.5 B.-1 C.0 D.1

查看答案和解析>>

科目:高中数学 来源:2015-2016学年江西新余一中高二上第一次段考理数学卷(解析版) 题型:选择题

,对于使成立的所有常数M中,我们把M的最小值1叫做 的上确界.若,且,则的上确界为( )

A. B. C. D.

查看答案和解析>>

科目:高中数学 来源:2015-2016学年青海省西宁市高一上期中数学试卷(解析版) 题型:解答题

扇形AOB的周长为8cm,它的面积为3 cm2,求圆心角的大小.

查看答案和解析>>

科目:高中数学 来源:2015-2016学年山西省高二11月月考文科数学卷(解析版) 题型:解答题

已知命题:函数的值域为,命题:函数上的减函数.若为真命题,为假命题,则实数的取值范围是什么?

查看答案和解析>>

科目:高中数学 来源:2015-2016学年山西省高二11月月考理科数学卷(解析版) 题型:填空题

如图所示,为正方体,给出以下五个结论:

平面

平面

与底面所成角的正切值是

④二面角的正切值是

⑤过点且与异面直线均成角的直线有2条.

其中,所有正确结论的序号为_______.

查看答案和解析>>

科目:高中数学 来源:2015-2016学年江西省高二上第三次文科数学试卷(解析版) 题型:填空题

若命题“存在实数,使”的否定是假命题,则实数的取值范围为______________.

查看答案和解析>>

科目:高中数学 来源:2015-2016学年内蒙古包头市高一上期中数学试卷(解析版) 题型:解答题

已知函数上的奇函数,当时,

(1)当时,求函数的解析式;

(2)证明函数在区间上是单调增函数.

查看答案和解析>>

同步练习册答案