精英家教网 > 高中数学 > 题目详情

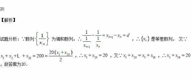
数列满足为常数),则称数列为调和数列,记数列为调和数列,且___________.

练习册系列答案
相关习题

科目:高中数学 来源:2016届黑龙江省高三12月月考文科数学试卷(解析版) 题型:解答题

已知椭圆C: 的离心率为,且过点(1,).

(1)求椭圆C的方程;

(2)设与圆相切的直线交椭圆C与A,B两点,求面积的最大值,及取得最大值时

直线的方程.

查看答案和解析>>

科目:高中数学 来源:2016届北京市海淀区高三上学期期中考试文科数学试卷(解析版) 题型:选择题

已知集合P{-≤0},M{0,1,3,4},则集合中元素的个数为( )

A.1 B.2 C.3 D.4

查看答案和解析>>

科目:高中数学 来源:2016届浙江省嘉兴市高三上学期能力测试文科数学试卷(解析版) 题型:解答题

已知函数

(Ⅰ)求函数的单调递增区间;

(Ⅱ)函数上的最大值与最小值的差为,求的表达式.

查看答案和解析>>

科目:高中数学 来源:2016届浙江省嘉兴市高三上学期能力测试理科数学试卷(解析版) 题型:填空题

,直线,圆.若圆既与线段又与直线有公共点,则实数的取值范围是________.

查看答案和解析>>

科目:高中数学 来源:2016届江西省新余市高三第四次模拟文科数学试卷(解析版) 题型:选择题

已知等比数列项和为,且,则数列的公比的值为( )

A.2 B.3 C.2或-3 D.2或3

查看答案和解析>>

科目:高中数学 来源:2016届江西省新余市高三第四次模拟考理科数学试卷(解析版) 题型:填空题

由直线曲线以及轴围成的图形的面积为_____________.

查看答案和解析>>

科目:高中数学 来源:2016届湖南省高三上第三次月考理数学试卷(解析版) 题型:解答题

选修4-1:几何证明选讲

如图,直线相切于点的弦,的平分线 于点,连结,并延长与直线相交于点,若

(1)求证:

(2)求弦的长.

查看答案和解析>>

科目:高中数学 来源:2016届河南省郑州市高三上学期联考理科数学试卷(解析版) 题型:解答题

如图,AB是半圆O的直径,C是半圆O上除A、B外的一个动点,DC垂直于半圆O所在的平面,DC∥EB,DC=EB,AB=4,

(Ⅰ)证明:平面ADE⊥平面ACD;

(Ⅱ)当三棱锥C-ADE体积最大时,求二面角D-AE-B的余弦值.

查看答案和解析>>

同步练习册答案