精英家教网 > 高中数学 > 题目详情

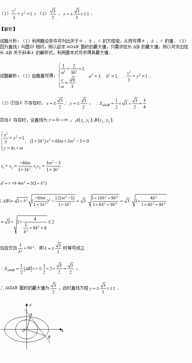
已知椭圆C: 的离心率为,且过点(1,).

(1)求椭圆C的方程;

(2)设与圆相切的直线交椭圆C与A,B两点,求面积的最大值,及取得最大值时

直线的方程.

练习册系列答案
相关习题

科目:高中数学 来源:2016届宁夏银川市高三上学期统练三理科数学试卷(解析版) 题型:解答题

在平面四边形中,

(1)求的长;

(2)若,求的面积。

查看答案和解析>>

科目:高中数学 来源:2016届江西省南昌市高三上第四次考试文科数学试卷(解析版) 题型:填空题

已知, 使不等式成立,则实数的取值范围是

查看答案和解析>>

科目:高中数学 来源:2016届湖南省株洲市高三上期中理科数学试卷(解析版) 题型:填空题

复数z满足,则复数的共轭复数

查看答案和解析>>

科目:高中数学 来源:2016届湖南省长沙市高三月考三理科数学试卷(解析版) 题型:填空题

如图所示,将平面直角坐标系的格点(横、纵坐标均为整数的点)按如下规则标上数字标签:原点处标数字,点处标数字,点处标数字,点处标数字,点处标数字,点处标数字,点处标数字,点处标数字,…以此类推:记格点坐标为的点(均为正整数)处所标的数字为,若,则

查看答案和解析>>

科目:高中数学 来源:2016届宁夏回族自治区银川一中高三上第四次月考文科数学试卷(解析版) 题型:选择题

已知四边形的三个顶点,且,则顶点的坐标为( )

A. B. C. D.

查看答案和解析>>

科目:高中数学 来源:2016届江西省南昌市高三上第四次考试理科数学试卷(解析版) 题型:解答题

已知

(Ⅰ)关于的不等式恒成立,求实数的取值范围;

(Ⅱ)设,且,求证:

查看答案和解析>>

科目:高中数学 来源:2016届黑龙江省高三12月月考文科数学试卷(解析版) 题型:填空题

已知,,且垂直,则实数的值为

查看答案和解析>>

科目:高中数学 来源:2016届江西省新余市高三第四次模拟文科数学试卷(解析版) 题型:填空题

数列满足为常数),则称数列为调和数列,记数列为调和数列,且___________.

查看答案和解析>>

同步练习册答案