精英家教网 > 高中数学 > 题目详情

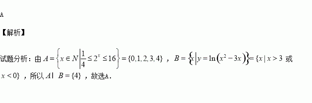
设集合,则中元素的个数是( )

A.1 B.2 C.3 D.4

练习册系列答案
相关习题

科目:高中数学 来源:2015-2016学年湖南常德石门一中高一下第一次月考数学卷(解析版) 题型:选择题

在用样本频率估计总体分布的过程中,下列说法正确的是( )

A.总体容量越大,估计越精确 B.总体容量越小,估计越精确

C.样本容量越大,估计越精确 D.样本容量越小,估计越精确

查看答案和解析>>

科目:高中数学 来源:2015-2016学年安徽省高二下期中文科数学试卷(解析版) 题型:选择题

已知函数的图象关于直线对称,当时,,若,则的大小关系为( )

A. B.

C. D.

查看答案和解析>>

科目:高中数学 来源:2016届福建省高三最后一卷文科数学试卷(解析版) 题型:填空题

已知函数,则______.

查看答案和解析>>

科目:高中数学 来源:2016届福建省高三最后一卷文科数学试卷(解析版) 题型:选择题

执行右边的程序框图,如果输入的是6,则输出的是( )

A.120 B.720 C.1440 D.5040

查看答案和解析>>

科目:高中数学 来源:2016届福建省高三最后一卷理科数学试卷(解析版) 题型:解答题

已知椭圆的两个焦点,且椭圆过点,且是椭圆上位于第一象限的点,且的面积

(1)求点的坐标;

(2)过点的直线与椭圆相交与点,直线轴相交与两点,点,则是否为定值,如果是定值,求出这个定值,如果不是请说明理由.

查看答案和解析>>

科目:高中数学 来源:2016届福建省高三最后一卷理科数学试卷(解析版) 题型:填空题

已知向量为单位向量,向量,且,则向量的夹角为______.

查看答案和解析>>

科目:高中数学 来源:2015-2016学年河北省高二下期中文科数学试卷(解析版) 题型:解答题

已知函数

(I)求的极值;

(II)若函数有且只有一个零点,试求实数的取值范围.

查看答案和解析>>

科目:高中数学 来源:2015-2016学年山西大学附属中学高一下期中数学试卷(解析版) 题型:解答题

,且.

(1)求

(2)求方向上的投影;

(3)求,使.

查看答案和解析>>

同步练习册答案