精英家教网 > 高中数学 > 题目详情

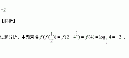
已知函数,则______.

练习册系列答案
相关习题

科目:高中数学 来源:2015-2016学年湖南常德石门一中高一下第一次月考数学卷(解析版) 题型:填空题

的方差为,则的方差是

查看答案和解析>>

科目:高中数学 来源:2015-2016学年安徽省高二下期中文科数学试卷(解析版) 题型:解答题

已知函数为偶函数.

(1)求实数的值;

(2)记集合,判断的关系;

(3)当时,若函数的值域为,求实数的值.

查看答案和解析>>

科目:高中数学 来源:2015-2016学年安徽省高二下期中文科数学试卷(解析版) 题型:选择题

若复数为虚数单位)为实数,则实数( )

A. B. C. D.

查看答案和解析>>

科目:高中数学 来源:2016届福建省高三最后一卷文科数学试卷(解析版) 题型:解答题

去年年底,某商业集团公司根据相关评分细则,对其所属25家商业连锁店进行了考核评估.将各连锁店的评估分数按分成四组,其频率分布直方图如下图所示,集团公司依据评估得分,将这些连锁店划分为四个等级,等级评定标准如下表所示.

(1)估计该商业集团各连锁店评估得分的众数和平均数;

(2)从评估分数不小于80分的连锁店中任选2家介绍营销经验,求至少选一家等级的概率.

查看答案和解析>>

科目:高中数学 来源:2016届福建省高三最后一卷文科数学试卷(解析版) 题型:选择题

如下图所示是古希腊数学家阿基米德的墓碑文,墓碑上刻着一个圆柱,圆柱内有一个内切球,这个球的直径恰好与圆柱的高相等,相传这个图形表达了阿基米德最引以为自豪的发现.则圆柱的体积与球的体积之比和圆柱的表面积与球的表面积之比分别为( )

A. B. C. D.

查看答案和解析>>

科目:高中数学 来源:2016届福建省高三最后一卷文科数学试卷(解析版) 题型:选择题

设集合,则中元素的个数是( )

A.1 B.2 C.3 D.4

查看答案和解析>>

科目:高中数学 来源:2016届福建省高三最后一卷理科数学试卷(解析版) 题型:选择题

满足约束条件,若仅在点处取得最大值,则的值可以为( )

A.4 B.2 C. D.

查看答案和解析>>

科目:高中数学 来源:2015-2016学年河北省高二下期中理科数学试卷(解析版) 题型:选择题

若函数f(x),则g(x)=f(x)-lnx的零点个数为( )

A.1 B.2 C.3 D.4

查看答案和解析>>

同步练习册答案