精英家教网 > 高中数学 > 题目详情

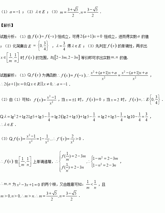
已知函数为偶函数.

(1)求实数的值;

(2)记集合,判断的关系;

(3)当时,若函数的值域为,求实数的值.

练习册系列答案
相关习题

科目:高中数学 来源:2015-2016学年四川省高一下期中数学试卷(解析版) 题型:解答题

如图,某观测站在港口的南偏西方向的处,测得一船在距观测站海里的处,正沿着从港口出发的一条南偏东的航线上向港口开去,当船走了海里到达处,此时观测站又测得等于海里,问此时船离港口处还有多远?

查看答案和解析>>

科目:高中数学 来源:2015-2016学年湖南常德石门一中高一下第一次月考数学卷(解析版) 题型:选择题

在用样本频率估计总体分布的过程中,下列说法正确的是( )

A.总体容量越大,估计越精确 B.总体容量越小,估计越精确

C.样本容量越大,估计越精确 D.样本容量越小,估计越精确

查看答案和解析>>

科目:高中数学 来源:2016届安徽省高三下组卷三理科数学试卷(解析版) 题型:选择题

体积为的球放置在棱长为4正方体上,且与上表面相切,切点为该表面的中心,则四棱锥的外接球的半径为( )

A. B. C.2 D.

查看答案和解析>>

科目:高中数学 来源:2016届安徽省高三下组卷三理科数学试卷(解析版) 题型:选择题

已知集合,则( )

A. B.

C. D.

查看答案和解析>>

科目:高中数学 来源:2015-2016学年安徽省高二下期中文科数学试卷(解析版) 题型:填空题

函数的定义域为

查看答案和解析>>

科目:高中数学 来源:2015-2016学年安徽省高二下期中文科数学试卷(解析版) 题型:选择题

已知函数的图象关于直线对称,当时,,若,则的大小关系为( )

A. B.

C. D.

查看答案和解析>>

科目:高中数学 来源:2016届福建省高三最后一卷文科数学试卷(解析版) 题型:填空题

已知函数,则______.

查看答案和解析>>

科目:高中数学 来源:2015-2016学年河北省高二下期中文科数学试卷(解析版) 题型:解答题

已知函数

(I)求的极值;

(II)若函数有且只有一个零点,试求实数的取值范围.

查看答案和解析>>

同步练习册答案