精英家教网 > 高中数学 > 题目详情
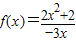
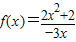
已知函数是奇函数,且,求f(x)的解析式.
【答案】分析:先由奇函数的定义得到等式f(-x)=-f(x)由其恒成立的特性得出q的值,再由求出p,即可得到函数的解析式.
解答:解:
∵f(x)是奇函数,
∴对定义域内的任意的x,都有f(-x)=-f(x),(4分)
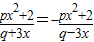
,整理得:q+3x=-q+3x,
∴q=0(8分)
又∵
,解得p=2
∴所求解析式为.(12分)
点评:本题考查奇函数的性质,考查利用奇函数的等价条件求参数,本题是一个求解析式的问题,求解的关键是利用奇函数的定义求出参数q,
练习册系列答案
相关习题

科目:高中数学 来源:2015届云南省高一上学期期中考试数学试卷(解析版) 题型:解答题

(本小题12分)

已知函数是奇函数,且

(1)求的值;

(2)用定义证明在区间上是减函数.

 

查看答案和解析>>

科目:高中数学 来源:2013届云南大理宾川县四中高二5月月考文科数学试卷(解析版) 题型:选择题

已知函数是奇函数,且在区间上单调递减,则上是(     )  

A. 单调递减函数,且有最小值           B. 单调递减函数,且有最大值

C. 单调递增函数,且有最小值            D. 单调递增函数,且有最大值

 

查看答案和解析>>

科目:高中数学 来源:2012-2013学年山东省高三第一次月考数学试卷(解析版) 题型:解答题

已知函数是奇函数,且.

(1)求函数f(x)的解析式;  

(2)判断函数f(x)在上的单调性,并加以证明.

 

查看答案和解析>>

科目:高中数学 来源:2011-2012学年浙江省五校高三第一次联考理科数学 题型:解答题

(本题15分)已知函数是奇函数,且图像在点 为自然对数的底数)处的切线斜率为3.

(1)   求实数的值;

(2)   若,且对任意恒成立,求的最大值;

(3)   当时,证明:

 

 

查看答案和解析>>

科目:高中数学 来源:2011--2012学年山西省第一学期高一月考数学试卷 题型:解答题

已知函数是奇函数,且满足

(Ⅰ)求实数的值;

(Ⅱ)试证明函数在区间单调递减,在区间单调递增;

(Ⅲ)是否存在实数同时满足以下两个条件:1不等式恒成立; 2方程上有解.若存在,试求出实数的取值范围,若不存在,请说明理由.

 

查看答案和解析>>

同步练习册答案