设等比数列{an}的前n项和为Sn.若S3+S6=2S9,求数列的公比q.
【答案】
分析:先假设q=1,分别利用首项表示出前3、6、及9项的和,得到已知的等式不成立,矛盾,所以得到q不等于1,然后利用等比数列的前n项和的公式化简S
3+S
6=2S
9得到关于q的方程,根据q不等于0和1,求出方程的解,即可得到q的值.
解答:解:若q=1,则有S
3=3a
1,S
6=6a
1,S
9=9a
1.
但a
1≠0,即得S
3+S
6≠2S
9,与题设矛盾,q≠1.
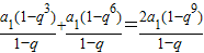
又依题意S
3+S
6=2S
9可得

整理得q
3(2q
6-q
3-1)=0.
由q≠0得方程2q
6-q
3-1=0.
(2q
3+1)(q
3-1)=0,
∵q≠1,q
3-1≠0,
∴2q
3+1=0
∴q=-

.
点评:本小题主要考查等比数列的基础知识,逻辑推理能力和运算能力,是一道综合题.