精英家教网 > 高中数学 > 题目详情

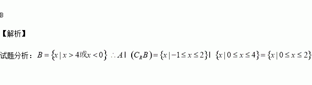
设集合≤x≤2},B=,则=( )

A.[1,2] B.[0,2] C.[1,4] D.[0,4]

练习册系列答案
相关习题

科目:高中数学 来源:2015-2016学年湖北武汉二中高二上学期期中理科数学试卷(解析版) 题型:解答题

(本小题满分12分)如图,已知长方形中,的中点.

沿折起,使得平面平面的中点.

(1)求证:

(2)求直线与平面ADM所成角的正弦值.

查看答案和解析>>

科目:高中数学 来源:2014-2015学年海南省高三下学期大测三文科数学试卷(解析版) 题型:填空题

已知,正实数满足,且b,若在区间上的最

大值为3,则a+b=

查看答案和解析>>

科目:高中数学 来源:2015-2016学年江苏省高二上第一次联考数学试卷(解析版) 题型:填空题

在四棱锥P?ABCD中,底面ABCD是边长为2的菱形,∠BAD=60°,侧棱PA⊥底面ABCD,PA=2,E为AB的中点,则四面体P?BCE的体积为

查看答案和解析>>

科目:高中数学 来源:2015-2016学年江苏省高二上学期第一次学情调研数学试卷(解析版) 题型:填空题

不等式(x-2)(x+3)>0的解集是

查看答案和解析>>

科目:高中数学 来源:2015-2016学年河北省定州市高二上学期竞赛数学试卷(解析版) 题型:选择题

动点P到x轴,y轴的距离之比等于非零常数k,则动点P的轨迹方程是( )

A. B.y=kx(x≠0) C. D.y=±kx(x≠0)

查看答案和解析>>

科目:高中数学 来源:2014-2015学年四川省高二下学期4月月考理科数学试卷(解析版) 题型:解答题

已知在的展开式中,第6项为常数项

(1)求展开式中各项系数的和;

(2)求的值;

(3)求展开式中系数绝对值最大的项.

查看答案和解析>>

科目:高中数学 来源:2014-2015学年湖北武汉外国语学校高二上学期期中考试文科数学试卷(解析版) 题型:填空题

如果直线l将圆C:(x-2)2+(y+3)2=13平分,那么坐标原点O到直线l的最大距离为________.

查看答案和解析>>

科目:高中数学 来源:2016届云南省高三适应性月考二理科数学试卷(解析版) 题型:选择题

一个棱锥的三视图如图所示,其中侧视图为正三角形,则四棱锥侧面中最大侧面的面积是( )

A、1 B、 C、 D、

查看答案和解析>>

同步练习册答案