精英家教网 > 高中数学 > 题目详情

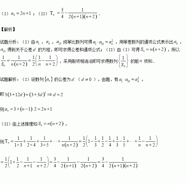
已知公差不为零的等差数列满足:,且成等比数列.

(I)求数列的通项公式;

(II)求数列的前项和.

练习册系列答案
相关习题

科目:高中数学 来源:2015-2016学年青海省高一4月月考数学试卷(解析版) 题型:选择题

已知函数,若从区间上任取一个实数,则使不等式成立的概率为( )

A. B. C. D.

查看答案和解析>>

科目:高中数学 来源:2015-2016学年河北定州中学高一上学期周练一数学试卷(解析版) 题型:解答题

已知是定义在上的奇函数,且,若时,有

(1)证明上是增函数;

(2)解不等式

(3)若恒成立,求实数的取值范围.

查看答案和解析>>

科目:高中数学 来源:2015-2016学年河北定州中学高一上学期周练一数学试卷(解析版) 题型:选择题

定义在上的函数对任意两个不相等实数,总有成立, 则必有( )

A.上是增函数 B.上是减函数

C.函数是先增加后减少 D.函数是先减少后增加

查看答案和解析>>

科目:高中数学 来源:2016届重庆一中高三下高考适应性考试文科数学试卷(解析版) 题型:解答题

如图,是圆上两点,延长至点,满足,过作直线与圆相切于点的平分线交于点

(I)求的长;

(II)若,求的面积.

查看答案和解析>>

科目:高中数学 来源:2016届重庆一中高三下高考适应性考试文科数学试卷(解析版) 题型:选择题

已知函数,且函数有两个不同的零点,则实数的取值范围是( )

A. B.

C. D.

查看答案和解析>>

科目:高中数学 来源:2016届重庆一中高三下高考适应性考试文科数学试卷(解析版) 题型:选择题

已知向量,若,则实数( )

A. B. C. D.

查看答案和解析>>

科目:高中数学 来源:2016届重庆一中高三5月模拟考试文科数学试卷(解析版) 题型:选择题

设函数,若不等式≤0有解,则实数a的最小值为( )

A.-1 B.2- C.1+2e2 D.1-

查看答案和解析>>

科目:高中数学 来源:2015-2016学年陕西省高二下期中理科数学试卷(解析版) 题型:填空题

函数g(x)=ax3+2(1-a)x2-3ax在区间内单调递减,则a的取值范围是________.

查看答案和解析>>

同步练习册答案