精英家教网 > 高中数学 > 题目详情

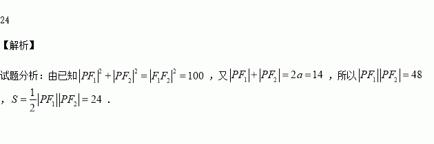
椭圆上一点与椭圆两焦点的连线的夹角为直角,则的面积为 .

练习册系列答案
相关习题

科目:高中数学 来源:2015-2016学年黑龙江省高一下期中数学试卷(解析版) 题型:解答题

中,角所对应的边分别为,若.

(1)求角; (2)设的最大值.

查看答案和解析>>

科目:高中数学 来源:2015-2016学年黑龙江省高二下期中理数学试卷(解析版) 题型:解答题

已知函数

(1)求的极值;

(2)若,关于的方程有唯一解,求的值.

查看答案和解析>>

科目:高中数学 来源:2015-2016学年黑龙江省高二下期中理数学试卷(解析版) 题型:选择题

函数的定义域为开区间,导函数内的图象如下图所示,则函数在开区间内有极大值有( )个

A. 个 B. 个 C. 个 D.

查看答案和解析>>

科目:高中数学 来源:2015-2016学年黑龙江大庆一中高二下第二次段考文数学卷(解析版) 题型:解答题

已知在等比数列中,.

(1)求数列的通项公式;

(2)设,且数列的前项和,证明:—2.

查看答案和解析>>

科目:高中数学 来源:2015-2016学年黑龙江大庆一中高二下第二次段考文数学卷(解析版) 题型:选择题

给出下列说法:

①命题“”的否定是“”;

②若“”为假命题,则均为假命题;

③ “三个数成等比数列”是“”的既不充分也不必要条件

其中不正确的个数为

A. B. C. D.

查看答案和解析>>

科目:高中数学 来源:2015-2016学年黑龙江大庆一中高二下第二次段考文数学卷(解析版) 题型:选择题

“用反证法证明命题“如果x<y,那么 >”时,假设的内容应该是( )

A. B. <

C.< D.>

查看答案和解析>>

科目:高中数学 来源:2016届辽宁大连八中、二十四中高三联合模拟理数学试卷(解析版) 题型:选择题

满足约束条件,则目标函数的最大值为11,则的最小值为( )

A.2 B.4 C.6 D.8

查看答案和解析>>

科目:高中数学 来源:2015-2016学年湖北省高二3月月考理科数学试卷(解析版) 题型:选择题

已知f(x)=aln(x+1)-x2在区间(0,1)内任取两个实数p、q,且p≠q,不等式>1恒成立,则实数a的取值范围为

A.(-∞,15] B.[15,+∞) C.(-12,15] D.(12,30]

查看答案和解析>>

同步练习册答案