精英家教网 > 高中数学 > 题目详情
在Rt△ABC中,∠C=90°,且角A、B、C所对的边a、b、c满足a+b=cx,则实数x的取值范围是   
【答案】分析:利用三角形的边的关系,以及勾股定理基本不等式,即可推出x的范围.
解答:解:因为在Rt△ABC中,∠C=90°,且角A、B、C所对的边a、b、c,
所以有a+b>c,即a+b=cx>c,∴x>1,因为a2+b2=c2
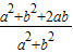
所以a+b=cx化为(a+b)2=(a2+b2)x2
x2==2;
x
综上x∈
故答案为:
点评:本题是中档题,考查三角形的基本性质,勾股定理基本不等式的应用,考查计算能力.
练习册系列答案
相关习题

科目:高中数学 来源: 题型:

在直角坐标系xOy中,
i
j
分别是与x轴,y轴平行的单位向量,若在Rt△ABC中,
AB
=
i
+
j
AC
=2
i
+m
j
,则实数m=
 

查看答案和解析>>

科目:高中数学 来源: 题型:

在Rt△ABC中,∠C=90°,AC=3,则
AB
AC
=(  )

查看答案和解析>>

科目:高中数学 来源: 题型:

(2013•昌平区一模)在Rt△ABC中,∠C=90°,AC=4,BC=2,D是BC的中点,那么(
AB
-
AC
)•
AD
=
2
2
;若E是AB的中点,P是△ABC(包括边界)内任一点.则
AD
EP
的取值范围是
[-9,9]
[-9,9]

查看答案和解析>>

科目:高中数学 来源: 题型:

如图所示,在Rt△ABC中,∠ACB=90°,CD⊥AB于D,且AD:BD=9:4,则AC:BC=
3:2
3:2

查看答案和解析>>

科目:高中数学 来源: 题型:

(几何证明选讲选做题)
如图,在Rt△ABC中,∠C=90°,E为AB上一点,以BE为直径作圆O刚好与AC相切于点D,若AB:BC=2:1,  CD=
3
,则圆O的半径长为
2
2

查看答案和解析>>

同步练习册答案