精英家教网 > 高中数学 > 题目详情

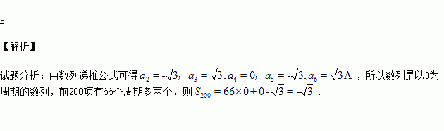
已知数列满足,则前200项的和为( )

A.0 B. C. D.

练习册系列答案
相关习题

科目:高中数学 来源:2016届重庆市高三12月月考理科数学试卷(解析版) 题型:解答题

已知函数

(1)当时,求函数上的极值;

(2)若,求证:当时,

(参考数据:

查看答案和解析>>

科目:高中数学 来源:2015-2016学年河南省高二上期中文科数学试卷(解析版) 题型:填空题

已知成等差数列,则二次函数的图像与x轴交点个数是_______.

查看答案和解析>>

科目:高中数学 来源:2015-2016学年河北邢台一中高二上第三次月考理科数学卷(解析版) 题型:选择题

分别是椭圆的左、右焦点,点在椭圆上,线段的中点在轴上,若,则椭圆的离心率为( )

A. B. C. D.

查看答案和解析>>

科目:高中数学 来源:2015-2016学年海南省高一上第三次月考数学试卷(解析版) 题型:选择题

下列幂函数中过点的偶函数是( )

A. B. C. D.

查看答案和解析>>

科目:高中数学 来源:2015-2016学年四川省实验学校高一上学期期中考试数学试卷(解析版) 题型:选择题

已知函数满足对于任意都有成立,则的取值范围是 ( )

A、 B、 C、 D、

查看答案和解析>>

科目:高中数学 来源:2015-2016学年贵州省高二上滾动训练4数学试卷(解析版) 题型:选择题

若点(1,a)到直线x-y+1=0的距离是,则实数a为( ).

A.-1 B.5 C.-1或5 D.-3或3

查看答案和解析>>

科目:高中数学 来源:2015-2016学年贵州省高二上滾动训练1数学试卷(解析版) 题型:选择题

,则( )

A.a<b<c B.a<c<b C.b<c<a D.b<a<c

查看答案和解析>>

科目:高中数学 来源:2016届山西省高三上期中文科数学试卷(解析版) 题型:解答题

已知数列的前项和).

(1)令,求证:是等差数列;

(2)令,求数列的前项和

查看答案和解析>>

同步练习册答案