精英家教网 > 高中数学 > 题目详情

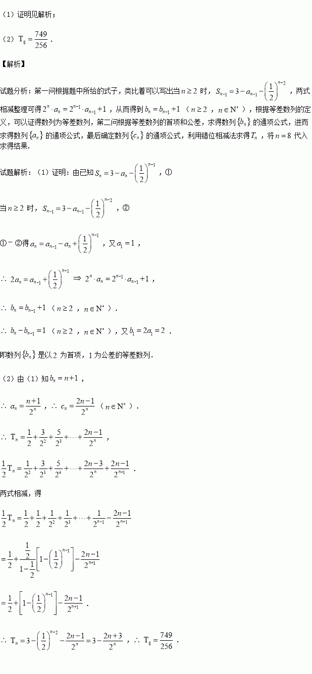
已知数列的前项和).

(1)令,求证:是等差数列;

(2)令,求数列的前项和

练习册系列答案
相关习题

科目:高中数学 来源:2015-2016学年福建省高一上期中数学试卷(解析版) 题型:选择题

已知数列满足,则前200项的和为( )

A.0 B. C. D.

查看答案和解析>>

科目:高中数学 来源:2015-2016年北大附中河南分校高二宏志班上抽考文数学卷(解析版) 题型:解答题

过点的椭圆)的离心率为,椭圆与轴交于两点,过点的直线与椭圆交于另一点,并与轴交于点,直线与直线交于点

(1)当直线过椭圆右焦点时,求线段的长;

(2)当点异于点时,求证:为定值.

查看答案和解析>>

科目:高中数学 来源:2016届云南师范大附中高考适应性月考三文科数学试卷(解析版) 题型:解答题

已知椭圆的焦点在轴上,离心率等于,且过点

(Ⅰ)求椭圆的标准方程;

(Ⅱ)过椭圆的右焦点作直线交椭圆两点,交轴于点,若,求证:为定值.

查看答案和解析>>

科目:高中数学 来源:2016届云南师范大附中高考适应性月考三理科数学试卷(解析版) 题型:填空题

已知数列满足,则

查看答案和解析>>

科目:高中数学 来源:2016届山西省高三上期中理科数学试卷(解析版) 题型:解答题

设函数

(1)若存在最大值,且,求的取值范围;

(2)当时,试问方程是否有实数根,若有,求出所有实数根;若没有,请说明理由.

查看答案和解析>>

科目:高中数学 来源:2016届山东省高三12月月考理科数学试卷(解析版) 题型:填空题

已知满足约束条件若目标函数的最大值为7,则的最小值为_______.

查看答案和解析>>

科目:高中数学 来源:2016届湖南省长沙市高三月考三文科数学试卷(解析版) 题型:填空题

已知函数

(1)当时,求函数的最小值;

(2)当函数的定义域为R时,求实数a的取值范围.

查看答案和解析>>

科目:高中数学 来源:2015-2016学年湖南株洲二中高二上第三次月考文数学卷(解析版) 题型:填空题

已知数列是首项、公比都为正数的等比数列,数列的前项和为,则数列的通项公式为

查看答案和解析>>

同步练习册答案