精英家教网 > 高中数学 > 题目详情

(本题满分10分)选修4-4;坐标系与参数方程

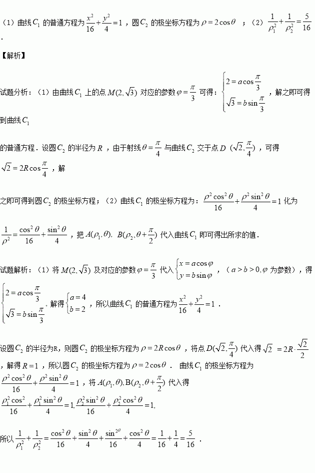
在平面直接坐标系中,曲线的参数方程为为参数),且曲线上的点对应的参数,以为极点,轴的正半轴为极轴建立极坐标系,曲线是圆心在极轴上且经过极点的圆,射线与曲线交于点

(1)求曲线的普通方程,的极坐标方程;

(2)若是曲线上的两点,求的值.

练习册系列答案
相关习题

科目:高中数学 来源:2015-2016学年四川成都市六校高二上学期期中联考文科数学试卷(解析版) 题型:解答题

(本小题满分12分)已知关于x,y的方程C:

(1)当m为何值时,方程C表示圆.

(2)若圆C与直线: x+2y-4=0相交于M,N两点,且MN=,求m的值.

查看答案和解析>>

科目:高中数学 来源:2015-2016学年福建厦门双十中学高二上期中理科数学试卷(解析版) 题型:选择题

下列各函数中,最小值为的是 ( )

A.

B.

C.

D.

查看答案和解析>>

科目:高中数学 来源:2016届辽宁省大连市高三10月月考理科数学试卷(解析版) 题型:选择题

下列四个图中,函数的图象可能是( )

查看答案和解析>>

科目:高中数学 来源:2014-2015学年广东省高二6月月考理科数学试卷(解析版) 题型:解答题

(本小题满分14分)设数列的前项和为,且对任意的都有

(1)求数列的前三项

(2)猜想数列的通项公式,并用数学归纳法证明;

(3)求证:对任意都有

查看答案和解析>>

科目:高中数学 来源:2016届重庆市高三上学期期中文科数学试卷(解析版) 题型:选择题

在等比数列中,等于( )

A. B. C. D.

查看答案和解析>>

科目:高中数学 来源:2015-2016年浙江宁波效实中学高二1,2班上期中数学卷(解析版) 题型:解答题

有一种密码,明文由三个字母组成,密码由明文的这三个字母对应的五个数字组成.编码规则如下表.明文由表中每一排取一个字母组成,且第一排取的字母放在第一位,第二排取的字母放在第二位,第三排取的字母放在第三位,对应的密码由明文所取的三个字母对应的数字按相同的次序排成一组组成.(如:明文取的三个字母为AFP,则与它对应的五个数字(密码)就为11223)

第一排

明文字母

A

B

C

密码数字

11

12

13

第二排

明文字母

E

F

G

密码数字

21

22

23

第三排

明文字母

M

N

P

密码数字

1

2

3

(1)假设密码是11211,求这个密码对应的明文;

(2)设随机变量表示密码中所含不同数字的个数.

①求;②求随机变量的分布列和数学期望.

查看答案和解析>>

科目:高中数学 来源:2015-2016年河北省高二上学期期中数学试卷(解析版) 题型:填空题

设点P,Q分别在直线上运动,线段PQ中点为,且,则的取值范围为 .

查看答案和解析>>

科目:高中数学 来源:2016届黑龙江省高三上学期期中理科数学试卷(解析版) 题型:解答题

(本小题12分)数列的前项和为,且满足,

(1)证明:是等比数列,并求数列的通项公式

(2)设,求证:

查看答案和解析>>

同步练习册答案