精英家教网 > 高中数学 > 题目详情

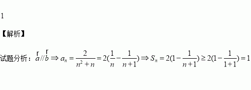
设向量),若,设数列的前项和为,则的最小值为

练习册系列答案
相关习题

科目:高中数学 来源:2016届河南省郑州市高三上学期联考文科数学试卷(解析版) 题型:解答题

设椭圆的离心率与双曲线的离心率互为倒数,且椭圆的长轴长为4.

(1)求椭圆M的方程;

(2)若直线交椭圆M于A,B两点,为椭圆M上一点,求△PAB面积的最大值.

查看答案和解析>>

科目:高中数学 来源:2015-2016学年江苏省沭阳县高二上学期期中考试数学试卷(解析版) 题型:填空题

在1L高产小麦种子中混入1粒带麦锈病的种子,从中随机取出20mL,则不含有麦锈病种子的概率为

查看答案和解析>>

科目:高中数学 来源:2016上海复旦大学附中届高三上期中文科数学试卷(解析版) 题型:选择题

已知数列项和满足,则( )

B、 C、 D、

查看答案和解析>>

科目:高中数学 来源:2016上海复旦大学附中届高三上期中理科数学试卷(解析版) 题型:填空题

已知是定义在上且周期为3的函数,当时,

若函数在区间上有10个零点(互不相同),则实数的取值范围是 .

查看答案和解析>>

科目:高中数学 来源:2016届河北省高三上学期四调理科数学试卷(解析版) 题型:解答题

(本小题满分12分)

已知等差数列的公差为,前项和为,且

(1)求数列的通项公式与前项和

(2)将数列的前四项抽取其中一项后,剩下三项按原来顺序恰为等比数列的前三项,记数列的前项和为,若存在,使得对任意,总有成立,求实数的取值范围.

查看答案和解析>>

科目:高中数学 来源:2015-2016学年吉林省高二11月月考文科数学卷(解析版) 题型:选择题

给出下列四个命题:

①如果命题“”与命题“”都是真命题,那么命题一定是真命题;

②命题“若,则”的否命题是:“若,则”;

③若命题,则

④设是首项大于零的等比数列,则“”是“数列是递增数列”的充分而不必要条件. 其中为真命题的个数是( )

A.4个 B.3个 C.2个 D.1个

查看答案和解析>>

科目:高中数学 来源:2015-2016学年湖北武汉华中师大一附高二上期中理数学卷(解析版) 题型:选择题

与圆和圆都相切的圆的圆心轨迹是( )

A.椭圆

B.椭圆和双曲线的一支

C.双曲线和一条直线(去掉几个点)

D.双曲线的一支和一条直线(去掉几个点)

查看答案和解析>>

科目:高中数学 来源:2016届福建省高三上学期期中考理科数学试卷(解析版) 题型:填空题

二项式的展开式中的常数项为

查看答案和解析>>

同步练习册答案