精英家教网 > 高中数学 > 题目详情

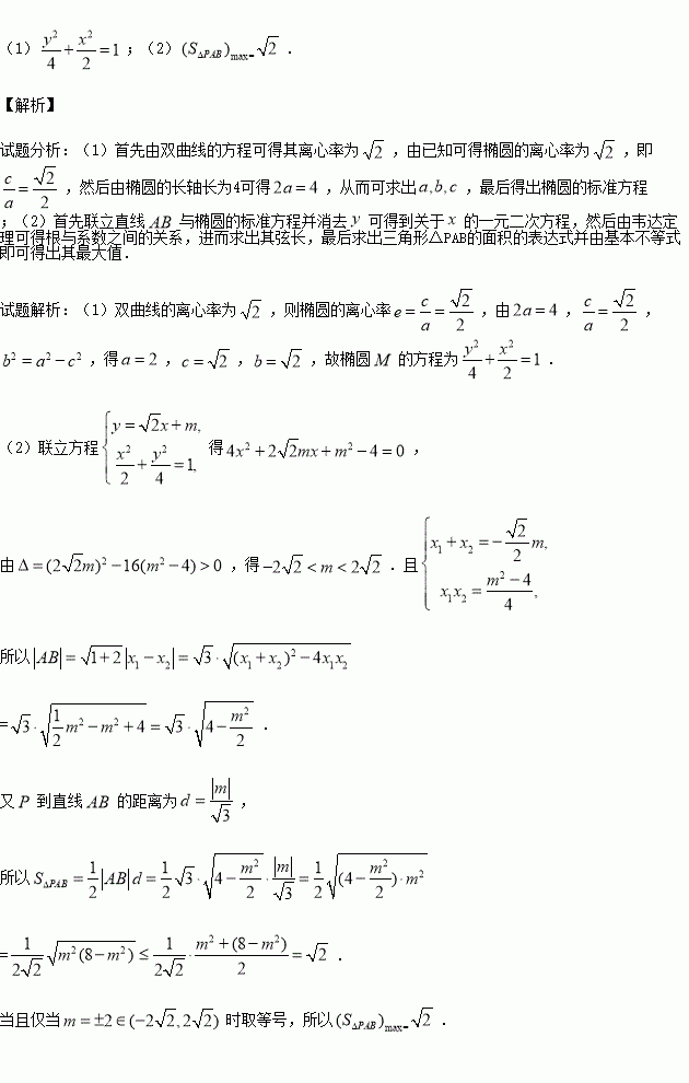
设椭圆的离心率与双曲线的离心率互为倒数,且椭圆的长轴长为4.

(1)求椭圆M的方程;

(2)若直线交椭圆M于A,B两点,为椭圆M上一点,求△PAB面积的最大值.

练习册系列答案
相关习题

科目:高中数学 来源:2016届浙江省嘉兴市高三上学期能力测试文科数学试卷(解析版) 题型:填空题

函数_______处取到最小值,且最小值是_______.

查看答案和解析>>

科目:高中数学 来源:2016届湖南省高三上第三次月考理数学试卷(解析版) 题型:解答题

已知中心在坐标原点,焦点在轴上的椭圆过点,且它的离心率

(Ⅰ)求椭圆的标准方程;

(Ⅱ)与圆相切的直线交椭圆于两点,若椭圆上一点满足,求实数的取值范围.

查看答案和解析>>

科目:高中数学 来源:2016届黑龙江省高三12月月考理科数学试卷(解析版) 题型:填空题

如图所示,正方体的棱长为1,分别是棱的中点,过直线的平面分别与棱分别交于两点,设,给出以下四个结论:

①平面平面

②直线∥平面始终成立;

③四边形周长是单调函数;

④四棱锥的体积为常数;以上结论正确的是___________.

查看答案和解析>>

科目:高中数学 来源:2016届黑龙江省高三12月月考理科数学试卷(解析版) 题型:选择题

若两个正数满足,则的取值范围是( )

A. B.

C. D.

查看答案和解析>>

科目:高中数学 来源:2016届河南省郑州市高三上学期联考文科数学试卷(解析版) 题型:选择题

已知向量,向量,若,则实数的值为( )

A.-2 B.3 C.1 D.-3

查看答案和解析>>

科目:高中数学 来源:2016届河南省郑州市高三上学期联考理科数学试卷(解析版) 题型:选择题

如图,已知椭圆,双曲线,若以的长轴为直径的圆与的一条渐近线交于A、B两点,且与该渐近线的两交点将线段AB三等分,则的离心率为( )

A. B.5 C. D.

查看答案和解析>>

科目:高中数学 来源:2015-2016学年广西陆川县中学高一上学期周测九数学试卷(解析版) 题型:选择题

下列几何体的三视图中,有且仅有两个视图相同的是( )

A.①② B.①③ C.①④ D.②④

查看答案和解析>>

科目:高中数学 来源:2016届河北省高三上学期四调文科数学试卷(解析版) 题型:填空题

设向量),若,设数列的前项和为,则的最小值为

查看答案和解析>>

同步练习册答案