精英家教网 > 高中数学 > 题目详情

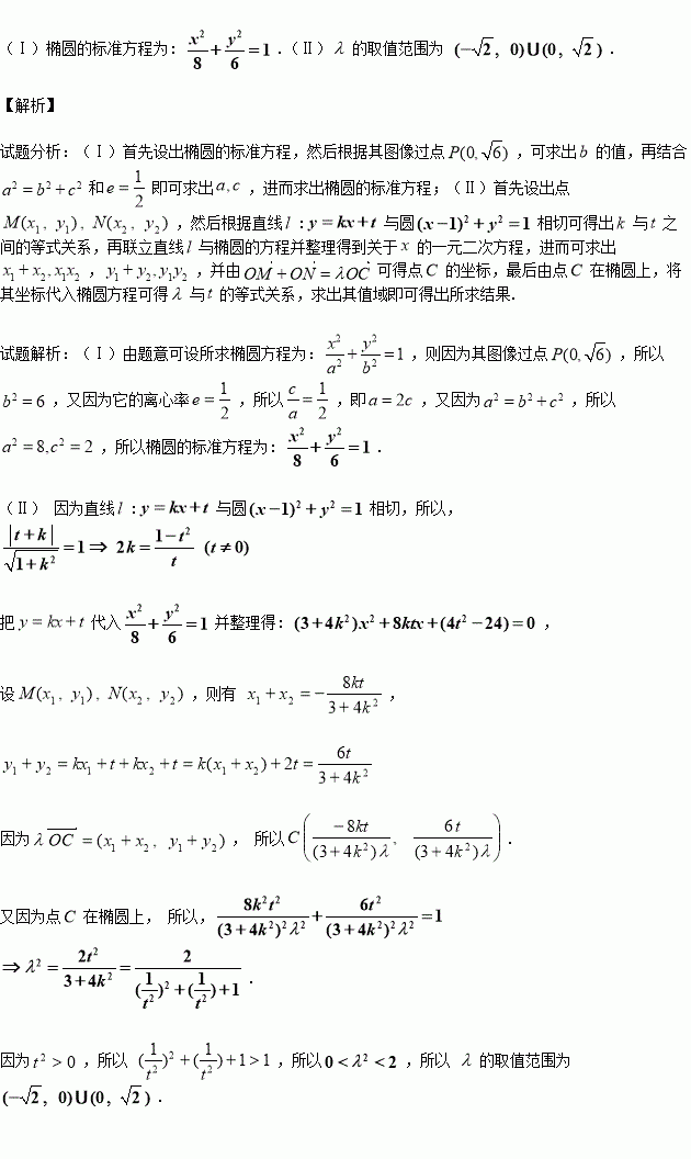
已知中心在坐标原点,焦点在轴上的椭圆过点,且它的离心率

(Ⅰ)求椭圆的标准方程;

(Ⅱ)与圆相切的直线交椭圆于两点,若椭圆上一点满足,求实数的取值范围.

练习册系列答案
相关习题

科目:高中数学 来源:2016届黑龙江省高三12月月考文科数学试卷(解析版) 题型:选择题

,且为第二象限角,则( )

A、 B、 C、 D、

查看答案和解析>>

科目:高中数学 来源:2016届江西省新余市高三第四次模拟文科数学试卷(解析版) 题型:选择题

已知实数满足,若目标函数的最大值为,最小值为,则实数的取值范围是( )

A. B. C. D.

查看答案和解析>>

科目:高中数学 来源:2016届江苏省高三上学期期中考试数学试卷(解析版) 题型:填空题

在平面直角坐标系xOy中,已知点,点B是圆上的点,点M为AB中点,若直线上存在点P,使得,则实数的取值范围为________.

查看答案和解析>>

科目:高中数学 来源:2016届江苏省高三上学期期中考试数学试卷(解析版) 题型:填空题

已知命题是真命题,则实数的取值范围是________.

查看答案和解析>>

科目:高中数学 来源:2016届湖南省高三上第三次月考理数学试卷(解析版) 题型:选择题

已知集合,集合,则= ( )

A. B. C. D.

查看答案和解析>>

科目:高中数学 来源:2016届黑龙江省哈尔滨市高三12月月考文科数学试卷(解析版) 题型:选择题

中,分别为角的对边,若,则的形状为( )

A.正三角形 B.直角三角形

C.等腰三角形 D.等腰三角形或直角三角形

查看答案和解析>>

科目:高中数学 来源:2016届河南省郑州市高三上学期联考文科数学试卷(解析版) 题型:解答题

设椭圆的离心率与双曲线的离心率互为倒数,且椭圆的长轴长为4.

(1)求椭圆M的方程;

(2)若直线交椭圆M于A,B两点,为椭圆M上一点,求△PAB面积的最大值.

查看答案和解析>>

科目:高中数学 来源:2015-2016学年江苏省沭阳县高二上学期期中考试数学试卷(解析版) 题型:填空题

在1L高产小麦种子中混入1粒带麦锈病的种子,从中随机取出20mL,则不含有麦锈病种子的概率为

查看答案和解析>>

同步练习册答案