精英家教网 > 高中数学 > 题目详情

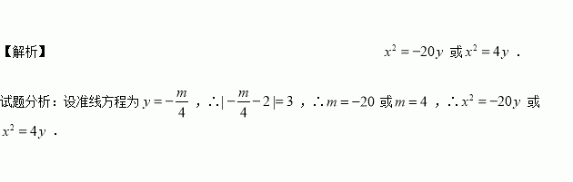
抛物线的准线与直线的距离为3,则此抛物线的方程为__________.

练习册系列答案
相关习题

科目:高中数学 来源:2015-2016学年广东实验中学高二下期中文科数学试卷(解析版) 题型:解答题

已知AD为圆O的直径,直线BA与圆O相切与点A,直线OB与弦AC垂直并相交于点G,与弧AC相交于M,连接DC,AB=10,AC=12.

(1)求证: BADC=GCAD;

(2)求BM.

查看答案和解析>>

科目:高中数学 来源:2015-2016学年安徽黄山屯溪一中高二下期中数学试卷(解析版) 题型:选择题

曲线在点处的切线方程是( )

A. B.

C. D.

查看答案和解析>>

科目:高中数学 来源:2015-2016学年湖南长郡中学高一上第三次检测数学试卷(解析版) 题型:选择题

已知,且,则的夹角为( )

A. B. C. D.

查看答案和解析>>

科目:高中数学 来源:2015-2016学年湖北省高二下期中数学试卷(解析版) 题型:解答题

(12分)2016年2月8日深夜,香港发生“旺角暴乱”,给香港经济造成很大损失,为了挽回经济损失,某厂家拟在新年举行大型的促销活动,经测算某产品销售价格x(单位:元/件)与销售量y(单位:万件)满足关系式,其中2<x<5,a为常数.己知销售价格为3元时,销售量10万件.

(1)求的值;

(2)若该商品的成本为2元/件,试确定销售价格的值,使商场每日销售该商品所获得的利润最大.

查看答案和解析>>

科目:高中数学 来源:2015-2016学年湖北省高二下期中数学试卷(解析版) 题型:选择题

一汽车沿直线轨道前进,刹车后汽车速度为,则汽车刹车后第二个4s内经过的路程是( )

A.27 B.32 C.81 D.13.5

查看答案和解析>>

科目:高中数学 来源:2015-2016学年湖北省高二下期中数学试卷(解析版) 题型:选择题

在平行六面体中,若,则等于( )

A. B. C. D.

查看答案和解析>>

科目:高中数学 来源:2016年全国普通高等学校招生统一考试理科数学(上海卷参考版) 题型:填空题

已知的三边长分别为3,5,7,则该三角形的外接圆半径等于_________.

查看答案和解析>>

科目:高中数学 来源:2016年全国普通高等学校招生统一考试理科数学(山东卷参考版) 题型:填空题

若(ax2+)3的展开式中x3的系数是—80,则实数a=_______.

查看答案和解析>>

同步练习册答案