精英家教网 > 高中数学 > 题目详情

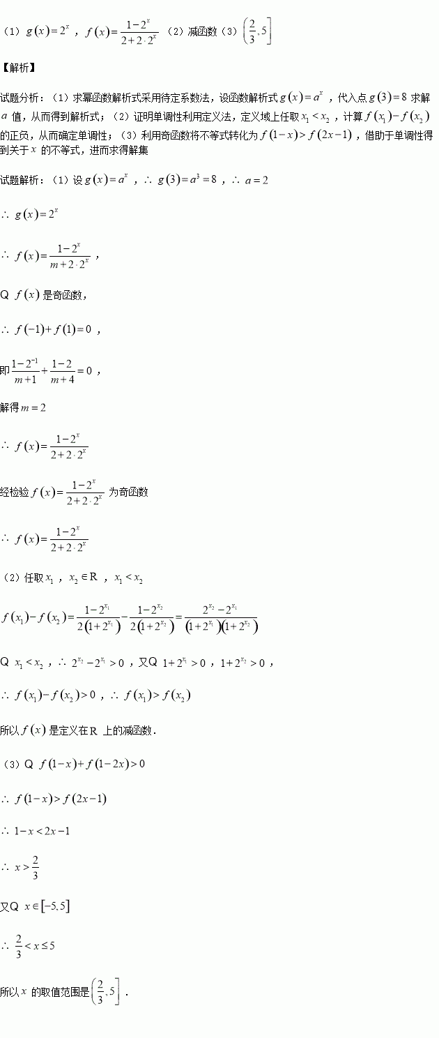
已知指数函数满足:,定义域为的函数是奇函数.

(1)确定的解析式;

(2)判断函数的单调性,并用定义证明;

(3)若对于任意,都有成立,求的取值范围.

练习册系列答案
相关习题

科目:高中数学 来源:2015-2016学年吉林省高一上期中理科数学试卷(解析版) 题型:选择题

,则使幂函数为奇函数,且在上单调递减的值的个数为( )

A.1 B.2 C.3 D.4

查看答案和解析>>

科目:高中数学 来源:2016届江西省高三上第三次考试理科数学试卷(解析版) 题型:选择题

已知条件p:;条件q:,若p是q的充分不必要条件,则m的取值范围是( )

A .[21,+∞) B.[9,+∞) C.[19,+∞) D.(0,+∞)

查看答案和解析>>

科目:高中数学 来源:2016届广东省广州市高三上学期期中文科数学试卷(解析版) 题型:选择题

从椭圆上一点轴作垂线,垂足恰好为左焦点是椭圆与轴正半轴的交点,是椭圆与轴正半轴的交点,且是坐标原点),则该椭圆的离心率是( )

A. B. C. D.

查看答案和解析>>

科目:高中数学 来源:2015-2016学年浙江慈溪中学高一1-3班上期中数学卷(解析版) 题型:解答题

已知函数

(1)对任意的成立,求的取值范围;

(2)对有两个不等实根,求的取值范围.

查看答案和解析>>

科目:高中数学 来源:2015-2016学年山东省高一上学期期中考试数试卷(解析版) 题型:选择题

设集合,则( )

A. B. C. D.

查看答案和解析>>

科目:高中数学 来源:2015-2016学年湖南衡阳八中高二上学期期中文科数学试卷(解析版) 题型:填空题

函数的单调增区间是__________.

查看答案和解析>>

科目:高中数学 来源:2015-2016学年河北省高一上学期期中数学试卷(解析版) 题型:填空题

是第三象限角,则是第 象限角.

查看答案和解析>>

科目:高中数学 来源:2016届四川省成都市高三11月段测三文科数学试卷(解析版) 题型:解答题

已知数列{an}的前n项和为Sn,若Sn=2an+n,且bn=n(1- an)

(1)求证:{an-1}为等比数列;

(2)求数列{bn}的前n项和Tn.

查看答案和解析>>

同步练习册答案