精英家教网 > 高中数学 > 题目详情

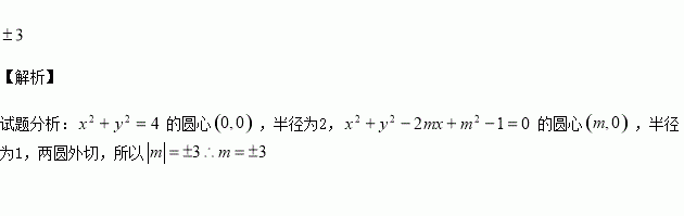
若圆与圆相外切,则实数=

练习册系列答案
相关习题

科目:高中数学 来源:2015-2016学年贵州遵义航天高中高二上学期期中数学试卷(解析版) 题型:选择题

在半径为4的球面上有A、B、C、D四点且AB,AC,AD两两垂直,则的面积之和的最大值为( )

A.8 B.16 C.32 D.64

查看答案和解析>>

科目:高中数学 来源:2015-2016学年黑龙江省高二上学期期中数学试卷(解析版) 题型:解答题

在某次测验中,有6位同学的平均成绩为75分, 用xn表示编号为n(n=1,2,…,6)的同学所得成绩,且前5位同学的成绩如下:

编号n

1

2

3

4

5[

成绩xn

70

76

72

70

72

(1)求第6位同学的成绩x6,及这6位同学成绩的标准差s;

(2)从前5位同学中,随机地选2位同学,求恰有1位同学成绩在区间(68,75)中的概率.

查看答案和解析>>

科目:高中数学 来源:2015-2016学年湖南省高二上学期期中文科数学试卷(解析版) 题型:选择题

在△ABC中,若sinBsinC=cos2,则△ABC是( )

A.等腰三角形 B.直角三角形

C.等边三角形 D.等腰直角三角形

查看答案和解析>>

科目:高中数学 来源:2015-2016学年山东省高一上学期期中模块考试数学试卷(解析版) 题型:选择题

已知函数,若,则此函数的单调递增区间是( )

A.

B.

C.

D.

查看答案和解析>>

科目:高中数学 来源:2015-2016学年江苏省大丰市高二上学期期中考试数学试卷(解析版) 题型:填空题

双曲线的离心率为,则__________.

查看答案和解析>>

科目:高中数学 来源:2015-2016学年吉林省扶余市高一上学期期中考试数学试卷(解析版) 题型:选择题

函数的定义域为

A. B. C. D.

查看答案和解析>>

科目:高中数学 来源:2015-2016学年福建省高一上学期期中考试数学试卷(解析版) 题型:解答题

(本小题满分12分)已知二次函数满足,且

(1)求的解析式;

(2)若函数的最小值为,求实数的值;

(3)若对任意互不相同的,都有成立,求实数的取值范围.

查看答案和解析>>

科目:高中数学 来源:2015-2016学年辽宁省大连市高二上期中理科数学试卷(解析版) 题型:填空题

命题“如果一个双曲线的离心率为,则它的渐近线互相垂直”的否命题为________ .

查看答案和解析>>

同步练习册答案