精英家教网 > 高中数学 > 题目详情

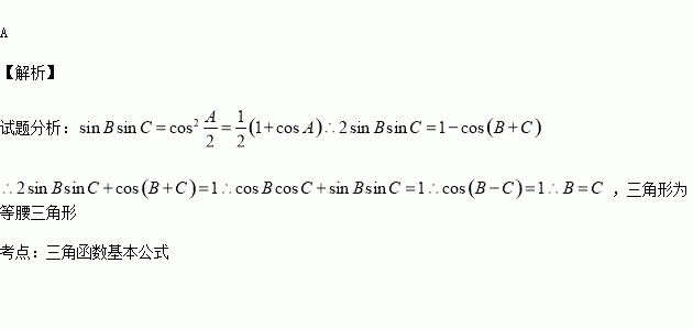
在△ABC中,若sinBsinC=cos2,则△ABC是( )

A.等腰三角形 B.直角三角形

C.等边三角形 D.等腰直角三角形

练习册系列答案
相关习题

科目:高中数学 来源:2015-2016学年西藏日喀则一中高二10月月考文数学试卷(解析版) 题型:选择题

函数的单调递减区间是( )

A. B. C. D.

查看答案和解析>>

科目:高中数学 来源:2015-2016学年辽宁省葫芦岛市高一上学期期中考试数学试卷(解析版) 题型:解答题

已知定义在R上的函数f(x)对任意实数x、y恒有f(x)+f(y)=f(x+y),且当x>0时,f(x)<0,又f(1)=-

(1)求证:f(x)为奇函数;

(2)求证:f(x)在R上是减函数;

(3)求f(x)在[-3,6]上的最大值与最小值

查看答案和解析>>

科目:高中数学 来源:2015-2016学年黑龙江省高二上学期期中数学试卷(解析版) 题型:选择题

已知圆心,一条直径的两个端点恰好在两坐标轴上,则这个圆的方程是( )

A. B.

C. D.

查看答案和解析>>

科目:高中数学 来源:2015-2016学年广东省清远市实验学校高二上学期期中数学试卷(解析版) 题型:选择题

对于任意实数a、b、c、d,命题①;②

;④;⑤

其中真命题的个数是 ( )

A.1 B.2 C.3 D.4

查看答案和解析>>

科目:高中数学 来源:2015-2016学年山东省高一上学期期中模块考试数学试卷(解析版) 题型:填空题

幂函数的图象过点,那么的值为

查看答案和解析>>

科目:高中数学 来源:2015-2016学年江苏省无锡市四校高二上学期期中考试数学试卷(解析版) 题型:填空题

若圆与圆相外切,则实数=

查看答案和解析>>

科目:高中数学 来源:2015-2016学年吉林省扶余市高二上学期期中考试文科数学试卷(解析版) 题型:选择题

在△ABC中,周长为7.5cm,且sinA:sinB:sinC=4:5:6,下列结论:

其中成立的个数是( )

A.0个 B.1个 C.2个 D.3

查看答案和解析>>

科目:高中数学 来源:2015-2016学年山东省临沂市高二上期中模拟理数学试卷(解析版) 题型:解答题

已知数列{an}的前n项和是Sn,且Sn+an=1.

(1)求数列{an}的通项公式;

(2)设bn=log3(1-Sn+1),求适合方程+…+的n的值.

查看答案和解析>>

同步练习册答案