精英家教网 > 高中数学 > 题目详情

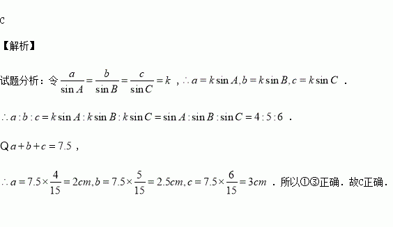
在△ABC中,周长为7.5cm,且sinA:sinB:sinC=4:5:6,下列结论:

其中成立的个数是( )

A.0个 B.1个 C.2个 D.3

练习册系列答案
相关习题

科目:高中数学 来源:2015-2016学年安徽师大附中高二上学期期中理科数学试卷(解析版) 题型:填空题

与直线x-y-4=0和圆x2+y2+2x-2y=0都相切的半径最小的圆的方程是___________.

查看答案和解析>>

科目:高中数学 来源:2015-2016学年湖南省高二上学期期中文科数学试卷(解析版) 题型:选择题

在△ABC中,若sinBsinC=cos2,则△ABC是( )

A.等腰三角形 B.直角三角形

C.等边三角形 D.等腰直角三角形

查看答案和解析>>

科目:高中数学 来源:2015-2016学年江苏省大丰市高二上学期期中考试数学试卷(解析版) 题型:填空题

双曲线的离心率为,则__________.

查看答案和解析>>

科目:高中数学 来源:2015-2016学年吉林省扶余市高一上学期期中考试数学试卷(解析版) 题型:选择题

函数的定义域为

A. B. C. D.

查看答案和解析>>

科目:高中数学 来源:2015-2016学年吉林省扶余市高二上学期期中考试理科数学试卷(解析版) 题型:选择题

下列有关命题的说法正确的是( )

A.“”是“”的充分不必要条件

B.“”是“”的必要不充分条件

C.命题“”的否定是:“ 均有

D.命题“若,则”的逆否命题为真命题

查看答案和解析>>

科目:高中数学 来源:2015-2016学年福建省高一上学期期中考试数学试卷(解析版) 题型:解答题

(本小题满分12分)已知二次函数满足,且

(1)求的解析式;

(2)若函数的最小值为,求实数的值;

(3)若对任意互不相同的,都有成立,求实数的取值范围.

查看答案和解析>>

科目:高中数学 来源:2014-2015学年上海市高二下学期期末考试数学试卷(解析版) 题型:解答题

(本题满分18分) 本题共有3个小题,第1小题满分5分,第2小题满分8分,第3小题满分5分.

定义:由椭圆的两个焦点和短轴的一个顶点组成的三角形称为该椭圆的“特征三角形”.如果两个椭圆的“特征三角形”是相似的,则称这两个椭圆是“相似椭圆”,并将三角形的相似比称为椭圆的相似比.已知椭圆

(1)若椭圆,判断是否相似?如果相似,求出的相似比;如果不相似,请说明理由;

(2)写出与椭圆相似且焦点在轴上、短半轴长为的椭圆的标准方程;若在椭圆上存在两点关于直线对称,求实数的取值范围;

(3)如图:直线与两个“相似椭圆”分别交于点和点,试在椭圆和椭圆上分别作出点和点(非椭圆顶点),使组成以为相似比的两个相似三角形,写出具体作法.(不必证明)

查看答案和解析>>

科目:高中数学 来源:2015-2016学年江西省赣州市十三县高二上期中联考理科数学试卷(解析版) 题型:选择题

已知则下列结论中不正确的是( )

A.将函数的图象向右平移个单位后得到函数的图象;

B.函数的最大值为

C.函数的图象关于称;

D.函数的最小正周期为

查看答案和解析>>

同步练习册答案