精英家教网 > 高中数学 > 题目详情

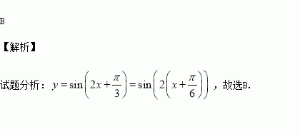
要得到函数的图象,只需将函数的图象( )

A.向左平移个单位 B.向左平个单位

C.向右平移个单位 D.向右平移个单位

练习册系列答案
相关习题

科目:高中数学 来源:2016届山东省高三最后一模文科数学试卷(解析版) 题型:选择题

设函数其中表示不超过的最大整数,如=-2,=1,=1,若直线与函数y=的图象恰有三个不同的交点,则的取值范围是( )

A. B. C. D.

查看答案和解析>>

科目:高中数学 来源:2015-2016学年江西玉山一中高一下第三次考试文科数学卷(解析版) 题型:选择题

已知数列满足,其前项和为,则满足的最小正整数为()

A. 6 B.7 C.8 D.9

查看答案和解析>>

科目:高中数学 来源:2015-2016学年江西玉山一中高一下第三次考试理科数学卷(解析版) 题型:解答题

已知向量满足的夹角为600.

(1)若,求的值;

(2)若,求的取值范围.

查看答案和解析>>

科目:高中数学 来源:2015-2016学年江西玉山一中高一下第三次考试理科数学卷(解析版) 题型:选择题

已知则f(x)在上的最大值为( )

A. B.0 C. D.1

查看答案和解析>>

科目:高中数学 来源:205-2016学年吉林省高二下期中理科数学试卷(解析版) 题型:解答题

如图,已知在长方体ABCD-A1B1C1D1中,AD=A1A=AB=2,点E是棱AB上一点,且 .

(1)证明:D1E⊥A1D

(2)若二面角-EC-D的余弦值为,求CE与平面D1ED所成的角.

查看答案和解析>>

科目:高中数学 来源:205-2016学年吉林省高二下期中理科数学试卷(解析版) 题型:填空题

已知如图1所示的图形有面积关系,用类比的思想写出如图2所示的图形的体积关系___________

查看答案和解析>>

科目:高中数学 来源:2016届湖南长沙长郡中学高考原创十一文科数学试卷(解析版) 题型:解答题

如图,从圆外一点引圆的切线及割线为切点,,垂足为.

(1)求证:

(2)若依次成公差为的等差数列,且,求的长.

查看答案和解析>>

科目:高中数学 来源:2015-2016学年湖北省高二5月月考文科数学试卷(解析版) 题型:选择题

为虚数单位,则复数( )

A. B. C. D.

查看答案和解析>>

同步练习册答案