精英家教网 > 高中数学 > 题目详情

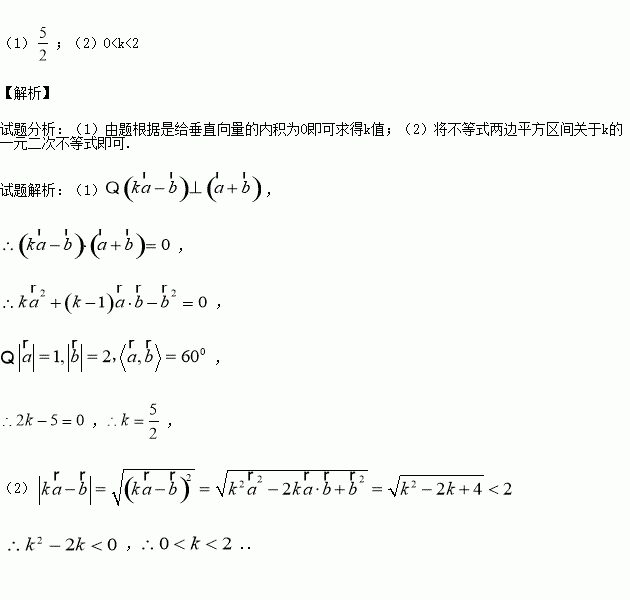
已知向量满足的夹角为600.

(1)若,求的值;

(2)若,求的取值范围.

练习册系列答案
相关习题

科目:高中数学 来源:2015-2016学年重庆八中高一下期中数学试卷(解析版) 题型:选择题

在数列中,=( )

A.11 B.12 C.13 D.14

查看答案和解析>>

科目:高中数学 来源:2016届山东省高三最后一模理科数学试卷(解析版) 题型:选择题

已知为虚数单位,,若为纯虚数,则复数的模等于( )

A. B. C. D.

查看答案和解析>>

科目:高中数学 来源:2015-2016学年江西玉山一中高一下第三次考试文科数学卷(解析版) 题型:选择题

直线3x﹣4y﹣4=0被圆x2+y2﹣6x=0截得的弦长为( )

A. B.4 C. D.2

查看答案和解析>>

科目:高中数学 来源:2015-2016学年江西玉山一中高一下第三次考试理科数学卷(解析版) 题型:解答题

已知各项均为正数的两个数列满足:

(1)求证:数列是等差数列;

(2)若,若,求;

(3)在(2)的条件下,设,对于任意的恒成立,

求正整数的最小值.

查看答案和解析>>

科目:高中数学 来源:2015-2016学年江西玉山一中高一下第三次考试理科数学卷(解析版) 题型:选择题

设等比数列的公比为,其前项之积为,并且满足条件:.给出下列结论:(1);(2)(3)的值是中最大的;(4)使成立的最大自然数等于4030.其中正确的结论为( )

A.(1),(3) B.(2),(3) C. (2),(4) D. (1),(4)

查看答案和解析>>

科目:高中数学 来源:2015-2016学年江西玉山一中高一下第三次考试理科数学卷(解析版) 题型:选择题

要得到函数的图象,只需将函数的图象( )

A.向左平移个单位 B.向左平个单位

C.向右平移个单位 D.向右平移个单位

查看答案和解析>>

科目:高中数学 来源:205-2016学年吉林省高二下期中理科数学试卷(解析版) 题型:选择题

将5名实习教师分配到高一年级的3个班实习,每班至少1名,最多2名,则不同的分配方案有( )

A .30种 B .90种 C.180种 D.270种

查看答案和解析>>

科目:高中数学 来源:2015-2016学年湖北省高二5月月考文科数学试卷(解析版) 题型:填空题

,若,则的取值范围是 .

查看答案和解析>>

同步练习册答案