精英家教网 > 高中数学 > 题目详情

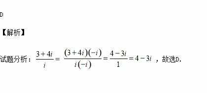
为虚数单位,则复数( )

A. B. C. D.

练习册系列答案
相关习题

科目:高中数学 来源:2015-2016学年江西玉山一中高一下第三次考试理科数学卷(解析版) 题型:选择题

要得到函数的图象,只需将函数的图象( )

A.向左平移个单位 B.向左平个单位

C.向右平移个单位 D.向右平移个单位

查看答案和解析>>

科目:高中数学 来源:2016届湖南长沙长郡中学高考原创十一文科数学试卷(解析版) 题型:选择题

如图所示,已知,点在线段上,且,设,则等于( )

A. B. C. D.

查看答案和解析>>

科目:高中数学 来源:2015-2016学年湖北省高二5月月考文科数学试卷(解析版) 题型:填空题

,若,则的取值范围是 .

查看答案和解析>>

科目:高中数学 来源:2015-2016学年湖北省高二5月月考文科数学试卷(解析版) 题型:选择题

在斜中,,且,则角的值为( )

A. B. C. D.

查看答案和解析>>

科目:高中数学 来源:2015-2016学年湖北省高二5月月考理科数学试卷(解析版) 题型:解答题

过抛物线焦点的直线交抛物线于两点,过两点分别作抛物线的切线,设其交点为.

(1)证明:为定值;

(2)设的面积为,试求的最小值.

查看答案和解析>>

科目:高中数学 来源:2015-2016学年湖北省高二5月月考理科数学试卷(解析版) 题型:填空题

已知向量,则 .

查看答案和解析>>

科目:高中数学 来源:2015-2016学年广东惠州一中高二下期中文科数学试卷(解析版) 题型:解答题

设椭圆,定义椭圆的“相关圆”方程为,若抛物线的焦点与椭圆的一个焦点重合,且椭圆短轴的一个端点和其两个焦点构成直角三角形.

(I)求椭圆的方程和“相关圆”的方程;

(II)过“相关圆”上任意一点的直线与椭圆交于两点.为坐标原点,若,证明原点到直线的距离是定值,并求的取值范围.

查看答案和解析>>

科目:高中数学 来源:2015-2016学年江西省高二5月月考文科数学试卷(解析版) 题型:选择题

双曲线2x2﹣y2=8的实轴长是( )

A.2 B. C.4 D.

查看答案和解析>>

同步练习册答案