精英家教网 > 高中数学 > 题目详情

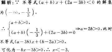
已知关于x的不等式(a+b)x+(2a-3b)<0的解集为(-∞,-),则关于x的不等式(a-3b)x+(b-2a)>0的解集是________.

答案:(-∞,-3)
解析:


提示:

以上两例解题实质是一致的,都是运用函数的零点与相应不等式解集的关系,找出待定系数(或其关系),进而解决有关问题.


练习册系列答案
相关习题

科目:高中数学 来源: 题型:

已知关于x的不等式ax2-2ax+x-2<0
(1)当a=3时,求此不等式解集;
(2)当a<0时,求此不等式解集.

查看答案和解析>>

科目:高中数学 来源: 题型:

(选修4-5:不等式选讲)
已知关于x的不等式|x-a|+1-x>0的解集为R,(1)求实数a的取值范围.(2)证明:若x-1<0,则a∈R.

查看答案和解析>>

科目:高中数学 来源: 题型:

已知关于x的不等式(a+b)x+(2a-3b)<0的解集是{x|x>3},则不等式(a-3b)x+(b-2a)>0的解集是
{x|x>
1
3
}
{x|x>
1
3
}

查看答案和解析>>

科目:高中数学 来源: 题型:

(2012•杨浦区二模)已知关于x的不等式x2+mx-2<0解集为(-1,2).
(1)求实数m的值;
(2)若复数z1=m+2i,z2=cosα+isinα,z1•z2为纯虚数,求tan2α的值.

查看答案和解析>>

科目:高中数学 来源: 题型:

选作题,本题包括A、B、C、D四小题,请选定其中两题,并在相应的答题区域内作答.若多做,则按作答的前两题评分.解答时应写出文字说明、证明过程或演算步骤.
A.(几何证明选讲)
如图,已知两圆交于A、B两点,过点A、B的直线分别与两圆交于P、Q和M、N.求证:PM∥QN.
B.(矩阵与变换)
已知矩阵A的逆矩阵A-1=
10
02
,求矩阵A.
C.(极坐标与参数方程)
在平面直角坐标系xOy中,过椭圆
x2
12
+
y2
4
=1
在第一象限处的一点P(x,y)分别作x轴、y轴的两条垂线,垂足分别为M、N,求矩形PMON周长最大值时点P的坐标.
D.(不等式选讲)
已知关于x的不等式|x-a|+1-x>0的解集为R,求实数a的取值范围.

查看答案和解析>>

同步练习册答案