精英家教网 > 高中数学 > 题目详情

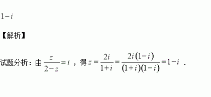
设复数满足,则____________.

练习册系列答案
相关习题

科目:高中数学 来源: 题型:解答题

15.已知四棱锥P-ABCD的底面ABCD是矩形,PD⊥底面ABCD,E为棱PD的中点.
(Ⅰ)证明:PB∥平面AEC;
(Ⅱ)若PD=AD=2,PB⊥AC,求点P到平面AEC的距离.

查看答案和解析>>

科目:高中数学 来源: 题型:解答题

16.已知动点P到定点F(p,0)和到直线x=-p(p>0)的距离相等.
(Ⅰ)求动点P的轨迹C的方程;
(Ⅱ)经过点F的直线l交(Ⅰ)中轨迹C于A、B两点,点D在抛物线的准线上,且BD∥x轴.证明直线AD经过原点O.

查看答案和解析>>

科目:高中数学 来源: 题型:解答题

13.如图,高为3的直三棱柱ABC-A1B1C1中,底面是直角三角形,AC=2,D为A1C1的中点,F在线段AA1上,CF⊥DB1,且A1F=1.
(1)求证:CF⊥平面B1DF;
(2)求平面B1FC与平面AFC所成的锐二面角的余弦值.

查看答案和解析>>

科目:高中数学 来源:2017届重庆市高三文上适应性考试一数学试卷(解析版) 题型:填空题

函数的图象向右平移个单位后与的图象重合,则_________.

查看答案和解析>>

科目:高中数学 来源: 题型:选择题

7.已知正方体ABCD-A1B1C1D1的棱长为1,M为棱CC1的中点,则点M到平面A1BD的距离是(  )
A.$\frac{1}{2}$B.$\frac{{\sqrt{2}}}{2}$C.$\frac{{2\sqrt{2}}}{3}$D.$\frac{{\sqrt{3}}}{2}$

查看答案和解析>>

科目:高中数学 来源: 题型:选择题

14.若定义在R上的函数f(x),g(x)满足f(x-1)=f(1-x),g(x)=f(x-2),且f(x1)>f(x2)>f(1)(x1>x2>0),g(0)=3,g(2)=1,若g(x)在[0,m]上有最小值1,最大值3,则m的取值范围是(  )
A.(0,+∞)B.(0,2]C.[2,4]D.[2,+∞)

查看答案和解析>>

科目:高中数学 来源: 题型:填空题

11.函数f(x)=logax(其中a>0,且a≠1)的图象恒过定点(1,0).

查看答案和解析>>

科目:高中数学 来源: 题型:解答题

12.如图,据气象部门预报,在距离码头O南偏东45°方向600km处的热带风暴中心正以20km/h的速度向正北方向移动,距台风中心450km以内的地区都将受到影响.据以上预报估计,从现在起多长时间后,该码头将受到热带风暴的影响,影响时间大约有多长?(精确到0.1h,$\sqrt{2}≈$1.414)

查看答案和解析>>

同步练习册答案