精英家教网 > 高中数学 > 题目详情

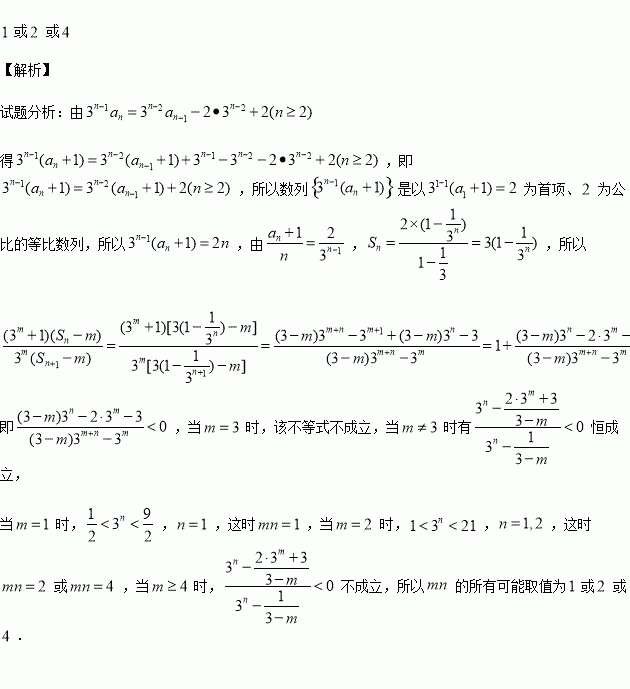
在数列中,是数列的前项和,当不等式恒成立时,的所有可能取值为 .

练习册系列答案
相关习题

科目:高中数学 来源:2017届江西新余一中高三上学期开学考试数学(理)试卷(解析版) 题型:填空题

已知实数满足不等式,则最大值为

查看答案和解析>>

科目:高中数学 来源:2017届湖南长沙长郡中学高三入学考试数学(文)试卷(解析版) 题型:解答题

已知函数.

(1)求函数的单调区间和最小值;

(2)若函数上的最小值为,求的值;

(3)若,且对任意恒成立,求的最大值.

查看答案和解析>>

科目:高中数学 来源:2017届湖南长沙长郡中学高三入学考试数学(文)试卷(解析版) 题型:选择题

分别在区间内任取一个实数,依次记为,则的概率为( )

A. B. C. D.

查看答案和解析>>

科目:高中数学 来源:2017届湖南长沙长郡中学高三入学考试数学(理)试卷(解析版) 题型:解答题

),的反函数.

(1)设关于的方程在区间上有实数解,求的取值范围;

(2)当为自然对数的底数)时,证明:

(3)当时,试比较与4的大小,并说明理由.

查看答案和解析>>

科目:高中数学 来源:2017届湖南长沙长郡中学高三入学考试数学(理)试卷(解析版) 题型:选择题

满足约束条件,则目标函数的最大值为11,则的最小值为( )

A.2 B.4 C.6 D.8

查看答案和解析>>

科目:高中数学 来源:2017届湖南长沙长郡中学高三入学考试数学(理)试卷(解析版) 题型:选择题

设函数,其中,若存在唯一的整数,使得,则的取值范围为( )

A. B. C. D.

查看答案和解析>>

科目:高中数学 来源:2016届四川内江市高三第五次模拟考试数学(文)试卷(解析版) 题型:选择题

等腰直角三角形中,,点分别是中点,点(含边界)内任意一点,则的取值范围是( )

A. B. C. D.

查看答案和解析>>

科目:高中数学 来源:2016届北京通州区高三4月一模数学(理)试卷(解析版) 题型:选择题

已知点,点在抛物线上,过点的直线与直线垂直相交于点,则的值为( )

A. B. C. D.

查看答案和解析>>

同步练习册答案