精英家教网 > 高中数学 > 题目详情

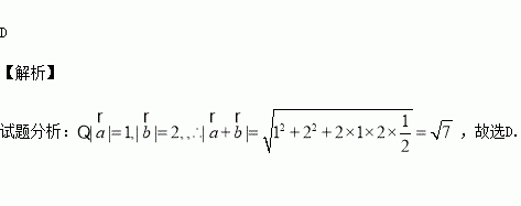
向量的夹角为60°,且等于()

A.1 B. C. D.

练习册系列答案
相关习题

科目:高中数学 来源:2015-2016学年重庆八中高一下期中数学试卷(解析版) 题型:选择题

若等差数列的前项和,则的最小值为( )

A. B.8 C.6 D.7

查看答案和解析>>

科目:高中数学 来源:2016届山东省高三最后一模理科数学试卷(解析版) 题型:选择题

设函数,若,则等于( )

A. B. C. D.3

查看答案和解析>>

科目:高中数学 来源:2015-2016学年江西玉山一中高一下第三次考试文科数学卷(解析版) 题型:填空题

已知数列中,,则=_________.

查看答案和解析>>

科目:高中数学 来源:2015-2016学年江西玉山一中高一下第三次考试文科数学卷(解析版) 题型:选择题

直线3x﹣4y﹣4=0被圆x2+y2﹣6x=0截得的弦长为( )

A. B.4 C. D.2

查看答案和解析>>

科目:高中数学 来源:2015-2016学年江西玉山一中高一下第三次考试理科数学卷(解析版) 题型:解答题

(1)已知,且,求

(2)已知都是锐角,且.

查看答案和解析>>

科目:高中数学 来源:2015-2016学年江西玉山一中高一下第三次考试理科数学卷(解析版) 题型:选择题

设等比数列的公比为,其前项之积为,并且满足条件:.给出下列结论:(1);(2)(3)的值是中最大的;(4)使成立的最大自然数等于4030.其中正确的结论为( )

A.(1),(3) B.(2),(3) C. (2),(4) D. (1),(4)

查看答案和解析>>

科目:高中数学 来源:205-2016学年吉林省高二下期中理科数学试卷(解析版) 题型:解答题

已知复数(其中为虚数单位).

(Ⅰ)当实数取何值时,复数是纯虚数;

(Ⅱ)若复数在复平面上对应的点位于第四象限,求实数的取值范围。

查看答案和解析>>

科目:高中数学 来源:2015-2016学年湖北省高二5月月考文科数学试卷(解析版) 题型:填空题

已知常数为自然对数的底数,函数.

(1)写出的单调递增区间,并证明

(2)讨论函数在区间上零点的个数.

查看答案和解析>>

同步练习册答案