精英家教网 > 高中数学 > 题目详情

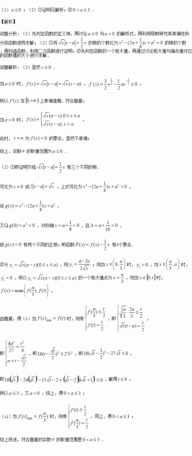
(1)若函数上为单调函数,求实数的取值范围;

(2)设

①证明:函数有3个零点;

②若存在实数,当时函数的值域为,求实数的取值范围.

练习册系列答案
相关习题

科目:高中数学 来源:2014-2015学年山东省高二下学期阶段性检测理科数学试卷(解析版) 题型:填空题

已知二项式的展开式中,各项系数的和与其各项二项式系数的和之比为,则展开式中的系数等于

查看答案和解析>>

科目:高中数学 来源:2016届云南省高三适应性月考二文科数学试卷(解析版) 题型:选择题

函数的定义域为( )

A. B. C. D.

查看答案和解析>>

科目:高中数学 来源:2016届宁夏银川一中高三上学期第三次月考文科数学试卷(解析版) 题型:解答题

(本小题满分10分)选修4—4:极坐标与参数方程

在直角坐标系中,直线的参数方程为为参数).再以原点为极点,以正半轴为极轴建立极坐标系,并使得它与直角坐标系有相同的长度单位.在该极坐标系中圆的方程为

(1)求圆的直角坐标方程;

(2)设圆与直线交于点,若点的坐标为,求的值.

查看答案和解析>>

科目:高中数学 来源:2016届宁夏银川一中高三上学期第三次月考理科数学试卷(解析版) 题型:解答题

(本小题满分12分)设数列的各项均为正数,它的前项的和为,点在函数的图像上;数列满足.其中

(1)求数列的通项公式;

(2)设,求证:数列的前项的和).

查看答案和解析>>

科目:高中数学 来源:2016届湖北武汉华中师大第一附中高三上期中考试文科数学试卷(解析版) 题型:解答题

(本小题满分12分)已知函数,在x=1处的切线与直线x+2y=0垂直,函数

(1)求实数a的值;

(2)设是函数的两个极值点,记,若

的取值范围;

②求的最小值.

查看答案和解析>>

科目:高中数学 来源:2016届湖北武汉华中师大第一附中高三上期中考试理科数学试卷(解析版) 题型:填空题

设函数,则使得成立的的取值范围为

查看答案和解析>>

科目:高中数学 来源:2015-2016学年甘肃省高一上学期期中数学试卷(解析版) 题型:填空题

函数在区间上的值域为

查看答案和解析>>

科目:高中数学 来源:2015-2016学年辽宁师范大学附属中学高二10月月考数学试卷(解析版) 题型:选择题

命题则在下述判断:①p或q为真;②p或q为假;③p且q为真;④p且q为假;⑤非p为真;⑥非q为假.其中正确的的个数为( )

A.2 B.3 C.4 D.5

查看答案和解析>>

同步练习册答案