精英家教网 > 高中数学 > 题目详情

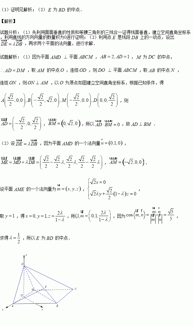
如图,已知长方形中,的中点,将沿折起,使得平面平面

(1)求证:

(2)若点是线段上的一动点,问点在何位置时,二面角的余弦值为

练习册系列答案
相关习题

科目:高中数学 来源:2015-2016学年广东省汕头市高一上学期期中考试数学试卷(解析版) 题型:选择题

下列各式错误的是

A.

B.

C.

D.

查看答案和解析>>

科目:高中数学 来源:2016届河北省高三上学期四调理科数学试卷(解析版) 题型:选择题

满足约束条件,若目标函数)的最大值为,则的图象向右平移后的表达式为( )

A. B. C. D.

查看答案和解析>>

科目:高中数学 来源:2015-2016学年湖北武汉华中师大一附高一上期中数学试卷(解析版) 题型:选择题

设集合,集合,下列对应关系中是从集合到集合的映射的是( )

A. B.

C. D.

查看答案和解析>>

科目:高中数学 来源:2016届宁夏六盘山高中高三上学期第二次月考文科数学试卷(解析版) 题型:解答题

已知等比数列,数列满足

(1)求数列的通项公式;

(2)设,求数列的前项和

查看答案和解析>>

科目:高中数学 来源:2016届宁夏六盘山高中高三上学期第二次月考理科数学试卷(解析版) 题型:选择题

在平面几何中有如下结论:正三角形的内切圆面积为,外接圆面积为,则,推广到空间中可以得到类似结论:已知正四面体的内切球体积为,外接球体积为,则=( )

A、 B、 C、 D、

查看答案和解析>>

科目:高中数学 来源:2016届湖南省株洲市高三上学期期中文科数学试卷(解析版) 题型:解答题

已知等差数列的首项,公差,且的第二项、第五项、第十四项成等比数列。

(1)求数列的通项公式;

(2)设,记为数列的前n项和,求并说明是否存在最大的整数t,使得对任意的n均有总成立?若存在,求出t;若不存在,请说明理由.

查看答案和解析>>

科目:高中数学 来源:2016届湖北武汉华中师大一附等高三上第一次联考文数学卷(解析版) 题型:选择题

是等差数列,是其前项和,且,则下列结论错误的是( )

A. B. C. D.均为的最大值

查看答案和解析>>

科目:高中数学 来源:2014-2015学年贵州省高二上学期半期考试文科数学试卷(解析版) 题型:选择题

双曲线的渐近线方程是( ).

A. B. C. D.

查看答案和解析>>

同步练习册答案