精英家教网 > 高中数学 > 题目详情

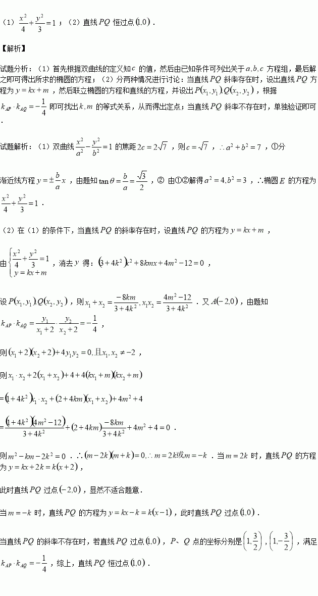
已知双曲线的焦距为,其一条渐近线的倾斜角为,且,以双曲线的实轴为长轴,虚轴为短轴的椭圆为

(1)求椭圆的方程;

(2)设点是椭圆的左顶点,为椭圆上异于点的两动点,若直线的斜率之积为,问直线是否恒过定点?若横过定点,求出该点坐标;若不横过定点,说明理由.

练习册系列答案
相关习题

科目:高中数学 来源:2016届四川省成都市高三11月阶段测试理科数学试卷(解析版) 题型:选择题

若实数x,y满足不等式,且的最大值为3,则实数( )

A.-1 B. C.1 D.2

查看答案和解析>>

科目:高中数学 来源:2015-2015学年云南省玉溪市高二上学期期中数学试卷(解析版) 题型:选择题

用系统抽样法从160名学生中抽取容量为20的样本,将160名学生随机地从1~160编号,按编号顺序平均分成20组(1~8号,9~16号,…,153~160号),若第16组抽出的号码为126,则第1组中用抽签的方法确定的号码是( )

A.5 B.6 C.7 D.8

查看答案和解析>>

科目:高中数学 来源:2016届河北省高三上学期期中数学试卷(解析版) 题型:解答题

已知函数

(1)求函数在区间上的最值;

(2)若(其中为常数),当时,设函数的3个极值点为,且,证明:

查看答案和解析>>

科目:高中数学 来源:2016届山东省高三11月月考数学试卷(解析版) 题型:填空题

若方程的两根中,一根在0和1之间,另一根在1和2之间,则的取值范围________.

查看答案和解析>>

科目:高中数学 来源:2016届辽宁省抚顺市高三12月月考文科数学试卷(解析版) 题型:选择题

集合,则=( )

A. B. C. D.

查看答案和解析>>

科目:高中数学 来源:2016届湖南师大附中高三月考四文科数学试卷(解析版) 题型:解答题

已知数列的前项和为,且满足

(1)求数列的通项公式;

(2)是否存在整数对,使得等式成立?若存在,请求出所有满足条件的;若不存在,请说明理由.

查看答案和解析>>

科目:高中数学 来源:2015-2016学年江西省吉安市高二上期中文科数学试卷(解析版) 题型:解答题

已知抛物线焦点为F,抛物线上横坐标为的点到抛物线顶点的距离与其到准线的距离相等.

(1)求抛物线的方程;

(2)设过点的直线与抛物线交于A,B两点,若以AB为直径的圆过点F,求直线的方程.

查看答案和解析>>

科目:高中数学 来源:2016届北京市朝阳区高三上学期期中统一考试文科数学试卷(解析版) 题型:选择题

已知,那么等于 ( )

A. B. C. D.

查看答案和解析>>

同步练习册答案