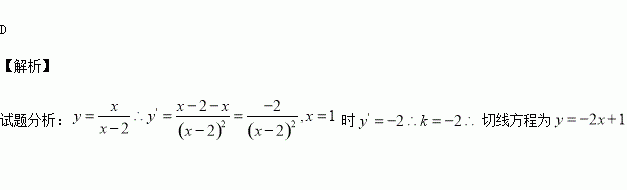
科目:高中数学 来源:2017届湖北黄石市高三9月调研数学(理)试卷(解析版) 题型:选择题
“牟合方盖”是我国古代数学家刘徽在研究球的体积的过程中构造的一个和谐优美的几何体.它由完全相同的四个曲面构成,相对的两个曲面在同一个圆柱的侧面上,好似两个扣合(牟合)在一起的方形伞(方盖).其直观图如下左图,图中四边形是为体现其直观性所作的辅助线.其实际直观图中四边形不存在,当其正视图和侧视图完全相同时,它的正视图和俯视图分别可能是( )
![]()
A.
B.
C.
D.![]()
查看答案和解析>>
科目:高中数学 来源:2015-2016学年陕西延川县中学高二下学期期中数学(理)试卷(解析版) 题型:选择题
如图所示,在正方体
中,
,
,
分别是棱
,
,
上的点,若
则
的大小是( )
![]()
A.等于
B.小于
C.大于
D.不确定
查看答案和解析>>
科目:高中数学 来源:2015-2016学年河北秦皇岛卢龙县高二下学期期末数学(文)试卷(解析版) 题型:解答题
已知,
为圆
的直径,
为垂直
的一条弦,垂足为
,弦
交
于
.
![]()
(1)求证:
、
、
、
四点共圆;
(2)若
,求线段
的长.
查看答案和解析>>
科目:高中数学 来源:2015-2016学年河北秦皇岛卢龙县高二下学期期末数学(文)试卷(解析版) 题型:填空题
已知数列﹛
﹜的第1项
=1,
=
(n=1,2,3,…),试归纳出这个数列的一个通项公式为 .
查看答案和解析>>
科目:高中数学 来源:2015-2016学年河北秦皇岛卢龙县高二下学期期末数学(文)试卷(解析版) 题型:选择题
用三段论推理:“指数函数
是增函数,因为
是指数函数,所以
是增函数”,你认为这个推理( )
A.大前提错误 B.小前提错误
C.推理形式错误 D.是正确的
查看答案和解析>>
科目:高中数学 来源:2015-2016学年河北秦皇岛卢龙县高二下学期期末数学(理)试卷(解析版) 题型:解答题
已知,
为圆
的直径,
为垂直
的一条弦,垂足为
,弦
交
于
.
![]()
(1)求证:
、
、
、
四点共圆;
(2)若
,求线段
的长.
查看答案和解析>>
科目:高中数学 来源:2015-2016学年河北秦皇岛卢龙县高二下学期期末数学(理)试卷(解析版) 题型:选择题
抛掷红、蓝两枚骰子,事件A=“红色骰子出现点数3”,事件B=“蓝色骰子出现点数为偶数”,则
( )
A.
B.
C.
D.![]()
查看答案和解析>>
科目:高中数学 来源:2016-2017学年湖北襄阳五中高二上学期开学考数学文试卷(解析版) 题型:选择题
《九章算术》是我国古代的数学名著,书中有如下问题:“今有五人分五钱,令上二人所得与下三人等,问各得几何.”其意思为“已知甲、乙、丙、丁、戊五人分5钱,甲、乙两人所得与丙、丁、戊三人所得相同,且甲、乙、丙、丁、戊所得依次成等差数列,问五人各得多少钱?”(“钱”是古代的一种重量单位).这个问题中,甲所得为( )
A.
钱 B.
钱 C.
钱 D.
钱
查看答案和解析>>
湖北省互联网违法和不良信息举报平台 | 网上有害信息举报专区 | 电信诈骗举报专区 | 涉历史虚无主义有害信息举报专区 | 涉企侵权举报专区
违法和不良信息举报电话:027-86699610 举报邮箱:58377363@163.com