精英家教网 > 高中数学 > 题目详情

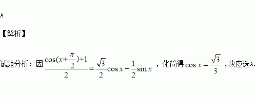
已知,则等于( )

A. B. C. D.

练习册系列答案
相关习题

科目:高中数学 来源:2015-2016学年陕西省西安市高一下期末考试数学试卷(解析版) 题型:选择题

已知向量,若向量的夹角为,则实数的值为( )

A. B. C. D.

查看答案和解析>>

科目:高中数学 来源:2015-2016山西省高二5月模块诊断数学(理)卷(解析版) 题型:选择题

篮子里装有2个红球,3个白球和4个黑球.某人从篮子中随机取出两个球,记事件“取出的两个球颜色不同”,事件“取出一个红球,一个白球”,则( )

A. B. C. D.

查看答案和解析>>

科目:高中数学 来源:2016届河北省邯郸市高三下第二次模拟考试数学(文)卷(解析版) 题型:填空题

在直四棱柱中,底面是正方形,,点在球的表面上,球的另一个交点为,与的另一个交点为,且,则球的表面积为_________.

查看答案和解析>>

科目:高中数学 来源:2016届河北省邯郸市高三下第二次模拟考试数学(文)卷(解析版) 题型:选择题

已知函数是奇函数,其中,则函数的图像( )

A.关于点对称

B.可由函数的图像向右平移个单位得到

C.可由函数的图像向左平移个单位得到

D.可由函数的图像向左平移个单位得到

查看答案和解析>>

科目:高中数学 来源:2016届河北省邯郸市高三下第二次模拟考试数学(理)卷(解析版) 题型:解答题

选修4-4:坐标系与参数方程

已知曲线的极坐标方程为,以极点为原点,极轴为轴正半轴建立平面直角坐标系,设直

线的参数方程为为参数).

(1)求曲线的直角坐标方程与直线的普通方程;

(2)设曲线与直线相交于两点,以为一条边作曲线的内接矩形,求该矩形的面积.

查看答案和解析>>

科目:高中数学 来源:2016届河北省邯郸市高三下第二次模拟考试数学(理)卷(解析版) 题型:填空题

中,内角的对边分别为

的中点,且,则的面积为_______.

查看答案和解析>>

科目:高中数学 来源:2016届广东省湛江市普通高考测试卷(二)理科数学试卷(解析版) 题型:解答题

选修4-4:坐标系与参数方程

在直角坐标系中,圆的方程,以原点为极点,以轴正半轴为极轴建立

极坐标系.

(Ⅰ)求圆的极坐标方程;

(Ⅱ)若直线的参数方程为为参数),求圆上的点到直线的距离的取值范围.

查看答案和解析>>

科目:高中数学 来源:2016届广东省深圳市高三第二次调研考试数学(文)试卷(解析版) 题型:选择题

若直线是函数(其中)的图象的一条对称轴,则的值为( )

A. B. C. D.

查看答案和解析>>

同步练习册答案