精英家教网 > 高中数学 > 题目详情
设函数f(x)=ln(2x+3)+x2
(Ⅰ)讨论f(x)的单调性;
(Ⅱ)求f(x)在区间的最大值和最小值。
解:f(x)的定义域为
(Ⅰ)
时,f′(x)>0;当时,f′(x)<0;当时,f′(x)>0,
从而,f(x)分别在区间单调增加,在区间单调减少;
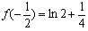
(Ⅱ)由(Ⅰ)知f(x)在区间的最小值为

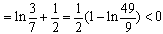
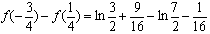
所以f(x)在区间的最大值为
练习册系列答案
相关习题

科目:高中数学 来源: 题型:

设函数f(x)=ln(x+a)+x2
(I)若当x=-1时,f(x)取得极值,求a的值,并讨论f(x)的单调性;
(II)若f(x)存在极值,求a的取值范围,并证明所有极值之和大于ln
e2

查看答案和解析>>

科目:高中数学 来源: 题型:

(Ⅰ)设函数f(x)=ln(1+x)-
2x
x+2
,证明:当x>0时,f(x)>0;
(Ⅱ)从编号1到100的100张卡片中每次随机抽取一张,然后放回,用这种方式连续抽取20次,设抽得的20个号码互不相同的概率为P.证明:P<(
9
10
)
19
1
e2

查看答案和解析>>

科目:高中数学 来源: 题型:

(2009•杨浦区一模)设函数f(x)=ln(x2-x-6)的定义域为集合A,集合B={x|
5x+1
>1}.请你写出一个一元二次不等式,使它的解集为A∩B,并说明理由.

查看答案和解析>>

科目:高中数学 来源: 题型:

设函数f(x)=ln(x+a)+x2(a>
2
)

(1)若a=
3
2
,解关于x不等式f(e
x
-
3
2
)<ln2+
1
4

(2)证明:关于x的方程2x2+2ax+1=0有两相异解,且f(m)和f(n)分别是函数f(x)的极小值和极大值(m,n为该方程两根,且m>n).

查看答案和解析>>

科目:高中数学 来源: 题型:

设函数f(x)=ln(x+a)+2x2
(1)若当x=-1时,f(x)取得极值,求a的值;
(2)在(1)的条件下,方程ln(x+a)+2x2-m=0恰好有三个零点,求m的取值范围;
(3)当0<a<1时,解不等式f(2x-1)<lna.

查看答案和解析>>

同步练习册答案