精英家教网 > 高中数学 > 题目详情

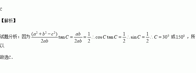
中,内角对应的边分别为,若,则角等于( )

A. B. C. D.

练习册系列答案
相关习题

科目:高中数学 来源:2015-2016学年浙江慈溪中学高二2-10班上期中数学卷(解析版) 题型:选择题

如图,有一个水平放置的透明无盖的正方体容器,容器高8cm,将一个球放在容器口,再向容器内注水,当球面恰好接触水面时测得水深为6cm,如果不计容器的厚度,则球的体积为( )

A. B. C. D.

查看答案和解析>>

科目:高中数学 来源:2015-2016学年江苏省高一上期中数学试卷(解析版) 题型:填空题

由等式定义映射

,则

查看答案和解析>>

科目:高中数学 来源:2015-2016学年河南省高二12月月考文科数学卷(解析版) 题型:选择题

数列为等差数列,为等比数列,,则( )

A.5 B.-1 C.0 D.1

查看答案和解析>>

科目:高中数学 来源:2015-2016学年福建省高二上期中理科数学试卷(解析版) 题型:解答题

已知公差不为零的等差数列的前项和成等比数列.

(Ⅰ)求数列的通项公式;

(Ⅱ)设为数列的前项和,若对任意恒成立,求实数的最小值.

查看答案和解析>>

科目:高中数学 来源:2015-2016学年江西新余一中高二上第一次段考理数学卷(解析版) 题型:选择题

,对于使成立的所有常数M中,我们把M的最小值1叫做 的上确界.若,且,则的上确界为( )

A. B. C. D.

查看答案和解析>>

科目:高中数学 来源:2015-2016学年青海省西宁市高一上期中数学试卷(解析版) 题型:解答题

扇形AOB的周长为8cm,它的面积为3 cm2,求圆心角的大小.

查看答案和解析>>

科目:高中数学 来源:2015-2016学年山西省高二11月月考理科数学卷(解析版) 题型:填空题

如图所示,为正方体,给出以下五个结论:

平面

平面

与底面所成角的正切值是

④二面角的正切值是

⑤过点且与异面直线均成角的直线有2条.

其中,所有正确结论的序号为_______.

查看答案和解析>>

科目:高中数学 来源:2016届河北省邯郸市高三一轮考试二文科数学试卷(解析版) 题型:选择题

在△ABC中,a,b,c为∠A,∠B,∠C的对边,且,则( )

A.a,b,c成等差数列

B.a,c.b成等差数列

C.a,c.b成等比数列

D.a,b,c成等比数列

查看答案和解析>>

同步练习册答案