精英家教网 > 高中数学 > 题目详情

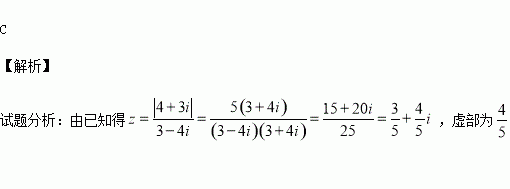
若复数满足,则的虚部为( )

A.0 B. C. D.

练习册系列答案
相关习题

科目:高中数学 来源:2015-2016学年北京市西城区高二上学期期末考试理科数学试卷(解析版) 题型:选择题

已知四面体的侧面展开图如图所示,则其体积为( )

A. B. C. D.

查看答案和解析>>

科目:高中数学 来源:2015-2016学年北京市东城区高二上学期期末考试理科数学试卷(解析版) 题型:选择题

过点的直线与圆有公共点,则直线的倾斜角的取值范围是( )

A. B. C. D.

查看答案和解析>>

科目:高中数学 来源:2015-2016学年江西省宜春市高二上期末文科数学试卷(解析版) 题型:填空题

已知函数处取得极大值10,则的值为 _

查看答案和解析>>

科目:高中数学 来源:2015-2016学年江西省宜春市高二上期末文科数学试卷(解析版) 题型:选择题

长方体中,,则异面直线所成角的余弦值为( )

A. B. C. D.

查看答案和解析>>

科目:高中数学 来源:2015-2016学年江西省宜春市高二上期末理科数学试卷(解析版) 题型:解答题

已知函数

(I)求曲线在点处的切线方程;

(II)直线为曲线的切线,且经过原点,求直线的方程

查看答案和解析>>

科目:高中数学 来源:2015-2016学年江西省宜春市高二上期末理科数学试卷(解析版) 题型:选择题

如图,已知在四棱锥中,底面是菱形, 底面,则四棱锥的体积的取值范围是( )

A. B. C. D.

查看答案和解析>>

科目:高中数学 来源:2015-2016学年山东省高二上期末文科数学试卷(解析版) 题型:解答题

抛物线的顶点在原点,它的准线过双曲线的一个焦点,并于双曲线的实轴垂直,已知抛物线与双曲线的交点为,求抛物线的方程和双曲线的方程。

查看答案和解析>>

科目:高中数学 来源:2015-2016学年山东省胶州市高二上学期期末考试文科数学试卷(解析版) 题型:解答题

已知坐标平面上一点与两个定点,且

(I)求点M的轨迹方程,并说明轨迹是什么图形;

(II)记(Ⅰ)中轨迹为C,过点的直线被C所截得的线段长度为8,求直线的方程.

查看答案和解析>>

同步练习册答案