精英家教网 > 高中数学 > 题目详情

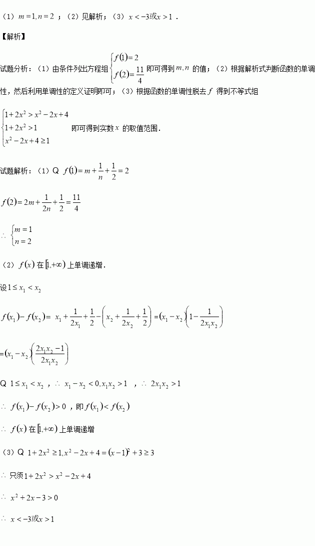
已知函数是常数),且

(1)求的值;

(2)当时,判断的单调性并用定义证明;

(3)若不等式成立,求实数的取值范围.

练习册系列答案
相关习题

科目:高中数学 来源:2016届河北省高三上第二次月考理科数学试卷B(解析版) 题型:选择题

已知,若的必要条件是,则 之间

的关系是( )

A. B. C. D.

查看答案和解析>>

科目:高中数学 来源:2016届辽宁省五校协作体高三上学期期初考试理科数学试卷(解析版) 题型:选择题

平面向量的夹角为60°,( )

A. B. C.4 D.12

查看答案和解析>>

科目:高中数学 来源:2016届河南省郑州市高三上学期联考理科数学试卷(解析版) 题型:选择题

如图,已知椭圆,双曲线,若以的长轴为直径的圆与的一条渐近线交于A、B两点,且与该渐近线的两交点将线段AB三等分,则的离心率为( )

A. B.5 C. D.

查看答案和解析>>

科目:高中数学 来源:2015-2016学年广西陆川县中学高一上学期周测九数学试卷(解析版) 题型:解答题

已知函数在其定义域上为奇函数.

(1)求的值;

(2)若关于的不等式对任意实数恒成立,求实数的取值范围.

查看答案和解析>>

科目:高中数学 来源:2015-2016学年浙江省温州市高一上学期期中考试数学试卷(解析版) 题型:解答题

已知函数

(1)求的解析式;

(2)用单调性的定义证明函数在其定义域上为增函数;

(3)解关于的不等式

查看答案和解析>>

科目:高中数学 来源:2015-2016学年江苏省沭阳县高二上学期期中考试数学试卷(解析版) 题型:填空题

在1L高产小麦种子中混入1粒带麦锈病的种子,从中随机取出20mL,则不含有麦锈病种子的概率为

查看答案和解析>>

科目:高中数学 来源:2014-2015学年贵州省高二上学期半期考试理科数学试卷(解析版) 题型:解答题

某公务员去开会,他乘火车、轮船、汽车、飞机去的概率分别是0.3、0.2、0.1、0.4,求:

(1)他乘火车或乘飞机去的概率;

(2)他不乘轮船去的概率

(3)如果他乘交通工具去的概率为0.5,请问他有可能是乘何种交通工具去的?

查看答案和解析>>

科目:高中数学 来源:2015-2016学年吉林省高二11月月考理科数学卷(解析版) 题型:选择题

给出平面区域如图所示,其中若使目标函数仅在点处取得最大值,则的取值范围是

查看答案和解析>>

同步练习册答案