精英家教网 > 高中数学 > 题目详情

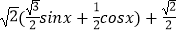
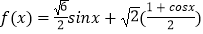
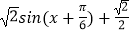
【题目】已知函数f(x)= +
(1)将函数f(x)化简成Asin(ωx+φ)+B(A>0,φ>0,φ∈[0,2π))的形式;
(2)求f(x)的单调递减区间,并指出函数|f(x)|的最小正周期;
(3)求函数f(x)在[ ]上的最大值和最小值.

【答案】
(1)解: = =
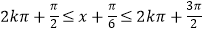
(2)解:令

解得

∴f(x)单调递减区间为 ,k∈Z.

∵f(x)的最小正周期为2π,

∴|f(x)|的最小正周期为2π(注意,因为上移了,所以|f(x)|周期没有改变)


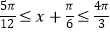
(3)解:由

故当x= 时,f(x)有最小值

当x= 时,f(x)有最大值


【解析】(1)利用二倍角公式以及两角和与差正弦函数,化简求解即可.(2)利用正弦函数的单调性化简求解单调区间,然后求解函数的周期.(3)通过角的范围,求出相位的范围,利用正弦函数的最值求解即可.

练习册系列答案
相关习题

科目:高中数学 来源: 题型:

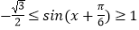
【题目】解不等式: ≥2.

查看答案和解析>>

科目:高中数学 来源: 题型:

【题目】正三棱台的上、下底面的边长分别是3和6.
(1)若侧面与底面所成的角为60°,求此三棱台的体积;
(2)若侧棱与底面所成的角为60°,求此三棱台的侧面积.

查看答案和解析>>

科目:高中数学 来源: 题型:

【题目】已知函数f(x)=Asin(ωx)+b(A>0,ω>0)的最大值为2,最小值为0,其图象相邻两对称轴间的距离为2,则f(1)+f(2)+…+f(2008)=

查看答案和解析>>

科目:高中数学 来源: 题型:

【题目】已知曲线C的极坐标方程是ρ=2,以极点为原点,极轴为x轴的正半轴建立平面直角坐标系,直线l的参数方程为(t为参数).

(1)写出直线l的普通方程与曲线C的直角坐标方程;

(2)设曲线C经过伸缩变换得到曲线,设M(x,y)为上任意一点,求的最小值,并求相应的点M的坐标.

查看答案和解析>>

科目:高中数学 来源: 题型:

【题目】如图,正三棱柱中,侧棱 分别为棱的中点, 分别为线段的中点.

(1)求证:直线平面

(2)求二面角的余弦值.

查看答案和解析>>

科目:高中数学 来源: 题型:

【题目】已知函数.

(1)讨论函数的单调性;

(2)当时,若函数的导函数的图象与轴交于 两点,其横坐标分别为 ,线段的中点的横坐标为,且 恰为函数的零点,求证: .

查看答案和解析>>

科目:高中数学 来源: 题型:

【题目】已知函数f(x)=
(1)在给定直角坐标系内直接画出f(x)的草图(不用列表描点),并由图象写出函数 f(x)的单调减区间;

(2)当m为何值时f(x)+m=0有三个不同的零点.

查看答案和解析>>

科目:高中数学 来源: 题型:

【题目】为了响应教育部颁布的《关于推进中小学生研学旅行的意见》,某校计划开设八门研学旅行课程,并对全校学生的选课意向进行调查(调查要求全员参与,每个学生必须从八门课程中选出唯一一门课程).本次调查结果如下.

图中,课程为人文类课程,课程为自然科学类课程.为进一步研究学生选课意向,结合上面图表,采取分层抽样方法从全校抽取1%的学生作为研究样本组(以下简称“组”).

(Ⅰ)在“组”中,选择人文类课程和自然科学类课程的人数各有多少?

(Ⅱ)某地举办自然科学营活动,学校要求:参加活动的学生只能是“组”中选择

程或课程的同学,并且这些同学以自愿报名缴费的方式参加活动. 选择课程的学生中有人参加科学营活动,每人需缴纳元,选择课程的学生中有人参加该活动,每人需缴纳元.记选择课程和课程的学生自愿报名人数的情况为,参加活动的学生缴纳费用总和为元.

①当时,写出的所有可能取值;

②若选择课程的同学都参加科学营活动,求元的概率.

查看答案和解析>>

同步练习册答案