精英家教网 > 高中数学 > 题目详情
已知抛物线C的方程为x2=4y,直线y=2与抛物线C相交于M、N两点,点A,B在抛物线上。
(1)若∠BMN=∠AMN,求证:直线AB的斜率为
(2)若直线AB的斜率为,求证点N到直线MA,MB的距离相等。
解:(1)设直线的斜率为k

所以直线BM的斜率为-k
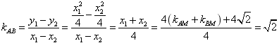
可求得
则直线AM的方程为
代入


同理

(2)若直线的斜率为由(1)可得:




故点N到直线的距离相等。
练习册系列答案
相关习题

科目:高中数学 来源: 题型:

已知抛物线C的方程为y=x2,过(0,1)点的直线l与C相交于点A,B,证明:OA⊥OB(O为坐标原点)

查看答案和解析>>

科目:高中数学 来源: 题型:

(2013•浙江模拟)已知抛物线C的方程为y2=2px(p>0),直线:x+y=m与x轴的交点在抛物线C准线的右侧.
(Ⅰ)求证:直线与抛物线C恒有两个不同交点;
(Ⅱ)已知定点A(1,0),若直线与抛物线C的交点为Q,R,满足
AQ
AR
=0
,是否存在实数m,使得原点O到直线的距离不大于
2
4
,若存在,求出正实数p的取值范围;若不存在,请说明理由.

查看答案和解析>>

科目:高中数学 来源: 题型:

(2011•合肥三模)已知抛物线C的方程为x2=2py(p>0),过抛物线上点M(-2
p
,p)作△MAB,A、B两均在抛物线上.过M作x轴的平行线,交抛物线于点N.
(I)若MN平分∠AMB,求证:直线AB的斜率为定值;
(II)若直线AB的斜率为
p
,且点N到直线MA,MB的距离的和为4p,试判断△MAB的形状,并证明你的结论.

查看答案和解析>>

科目:高中数学 来源: 题型:

已知抛物线C的方程为x2=2py(p>0),焦点F为 (0,1),点P(x1,y1)是抛物线上的任意一点,过点P作抛物线的切线交抛物线的准线l于点A(s,t).
(1)求抛物线C的标准方程;
(2)若x1∈[1,4],求s的取值范围.
(3)过点A作抛物线C的另一条切线AQ,其中Q(x2,y2)为切点,试问直线PQ是否恒过定点,若是,求出定点;若不是,请说明理由.

查看答案和解析>>

科目:高中数学 来源: 题型:

已知抛物线C的方程为y2=2px(p>0且p为常数),过焦点F作直线与抛物线交于A(x1,y1),B(x2,y2
①求证:4x1x2=p2
②若抛物线C的准线l与x轴交于N点且AB⊥AN,求|x1-x2|

查看答案和解析>>

同步练习册答案