精英家教网 > 高中数学 > 题目详情

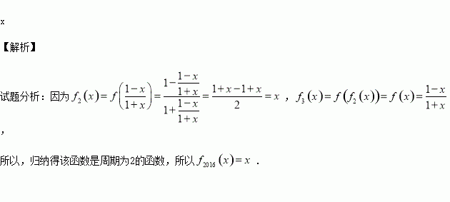
,记,若,则 .

练习册系列答案
相关习题

科目:高中数学 来源:2015-2016学年福建师大附中高二下期末数学(理)试卷(解析版) 题型:选择题

直线的参数方程可以是( )

A.为参数)

B.为参数)

C.为参数)

D.为参数)

查看答案和解析>>

科目:高中数学 来源:2017届湖北襄阳四中高三七月周考二数学(理)试卷(解析版) 题型:选择题

过双曲线的右顶点作斜率为的直线,该直线与双曲线的两条渐近线的交点分别为,若三点的横坐标成等比数列,则双曲线的离心率为( )

A. B. C. D.

查看答案和解析>>

科目:高中数学 来源:2017届河北定州中学高三上学期周练7.8数学试卷(解析版) 题型:选择题

已知,若,则实数( )

A. B.3 C.6 D.8

查看答案和解析>>

科目:高中数学 来源:2016届云南昆明一中高三仿真模拟七数学(理)试卷(解析版) 题型:解答题

一次测验共有4个选择题和2个填空题,每答对一个选择题得20分,每答对一个填空题得10分,答错或不答得0分,若某同学答对每个选择题的概率均为,答对每个填空题的概率均为,且每个题答对与否互不影响.

(1)求该同学得80分的概率;

(2)若该同学已经答对了3个选择题和1个填空题,记他这次测验的得分为,求的分布列和数学期望.

查看答案和解析>>

科目:高中数学 来源:2016届云南昆明一中高三仿真模拟七数学(理)试卷(解析版) 题型:选择题

已知不等式组,所表示的平面区域为,若直线与平面区域有公共点,则实数的取值范围为( )

A. B. C. D.

查看答案和解析>>

科目:高中数学 来源:2016届云南昆明一中高三仿真模拟七数学(理)试卷(解析版) 题型:选择题

( )

A. B. C. D.

查看答案和解析>>

科目:高中数学 来源:2016届宁夏高三五模考试数学(文)试卷(解析版) 题型:选择题

某几何体的三视图如图所示,且该几何体的体积是3,则正视图中的的值是( )

A.3 B. C. D.2

查看答案和解析>>

科目:高中数学 来源:2016届湖南长沙市高三月考八数学(文)试卷(解析版) 题型:填空题

如图,已知双曲线上有一点,它关于原点的对称点为,点为双曲线的右焦点,且满足,设,且,则该双曲线离心率的取值范围为

查看答案和解析>>

同步练习册答案