精英家教网 > 高中数学 > 题目详情

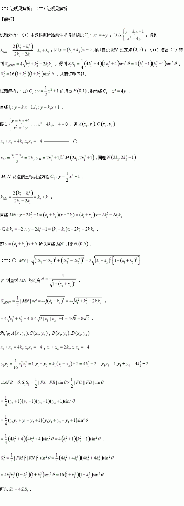
抛物线的焦点的顶点,过点的直线的斜率分别是,直线交于,直线交于

(I)求抛物线的方程,并证明:分别是的中点,且直线过定点

(II)①求面积的最小值

②设面积分别为,求证:

练习册系列答案
相关习题

科目:高中数学 来源:2016届海南省高三高考模拟三文科数学试卷(解析版) 题型:选择题

设向量,若向量与向量垂直,则的值为( )

A.3 B.1 C. D.-1

查看答案和解析>>

科目:高中数学 来源:2015-2016学年重庆八中高一下期中数学试卷(解析版) 题型:选择题

若等差数列的前项和,则的最小值为( )

A. B.8 C.6 D.7

查看答案和解析>>

科目:高中数学 来源:2016届山东省高三最后一模文科数学试卷(解析版) 题型:填空题

满足约束条件,则目标函数的取值范围为

查看答案和解析>>

科目:高中数学 来源:2016届山东省高三最后一模文科数学试卷(解析版) 题型:选择题

“牟合方盖”是我国古代数学家刘徽在研究球的体积的过程中构造的一个和谐优美的几何体.它由完全相同的四个曲面构成,相对的两个曲面在同一个圆柱的侧面上,好似两个扣合(牟合)在一起的方形伞(方盖).其直观图如下左图,图中四边形是为体现其直观性所作的辅助线.当其主视图和左视图完全相同时,它的俯视图可能是()

查看答案和解析>>

科目:高中数学 来源:2016届山东省高三最后一模理科数学试卷(解析版) 题型:解答题

中,角的对边分别是,已知

(I)求的值;

(II) 若角为锐角,求的值及的面积.

查看答案和解析>>

科目:高中数学 来源:2016届山东省高三最后一模理科数学试卷(解析版) 题型:选择题

设函数,若,则等于( )

A. B. C. D.3

查看答案和解析>>

科目:高中数学 来源:2015-2016学年江西玉山一中高一下第三次考试文科数学卷(解析版) 题型:填空题

已知数列中,,则=_________.

查看答案和解析>>

科目:高中数学 来源:205-2016学年吉林省高二下期中理科数学试卷(解析版) 题型:解答题

已知复数(其中为虚数单位).

(Ⅰ)当实数取何值时,复数是纯虚数;

(Ⅱ)若复数在复平面上对应的点位于第四象限,求实数的取值范围。

查看答案和解析>>

同步练习册答案